EasyManua.ls Logo

ABB Switchsync E113 - Page 34

ABB Switchsync E113
58 pages
Print Icon
To Next Page IconTo Next Page
To Next Page IconTo Next Page
To Previous Page IconTo Previous Page
To Previous Page IconTo Previous Page
Loading...
Controlled Switching — Buyer´s Guide
F-7
Edition 2, 2006-09
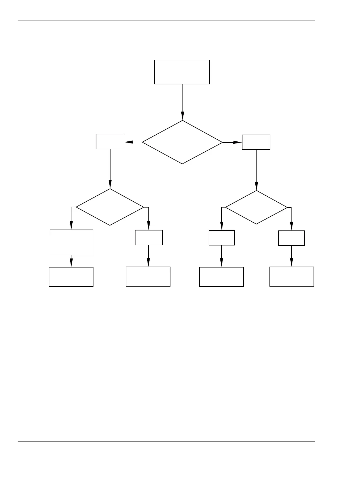
Switchsync™ Selection-tree
Switching of No-load Power Transformers
Power Transformers Application
*) Check that correct circuit breaker solution exists
**) Adaptation control requires precision auxiliary contacts
Start
Residual Flux
Disregarded
Yes
Circuit Breaker
Operation
E113 (C) *)
F236 (O,C)
T183 (C) **)
1-pole
Circuit Breaker
Operation
1-pole
F236 (C)
(T183 (C) **))
No
3-pole
Not
Suitable
3-pole
Mechanically
Staggered

Related product manuals