EasyManua.ls Logo

AEG Lavage - Page 9

AEG Lavage
46 pages
Print Icon
To Next Page IconTo Next Page
To Next Page IconTo Next Page
To Previous Page IconTo Previous Page
To Previous Page IconTo Previous Page
Loading...
- 9 -TSE-N A. S.
599 50 07-52/2
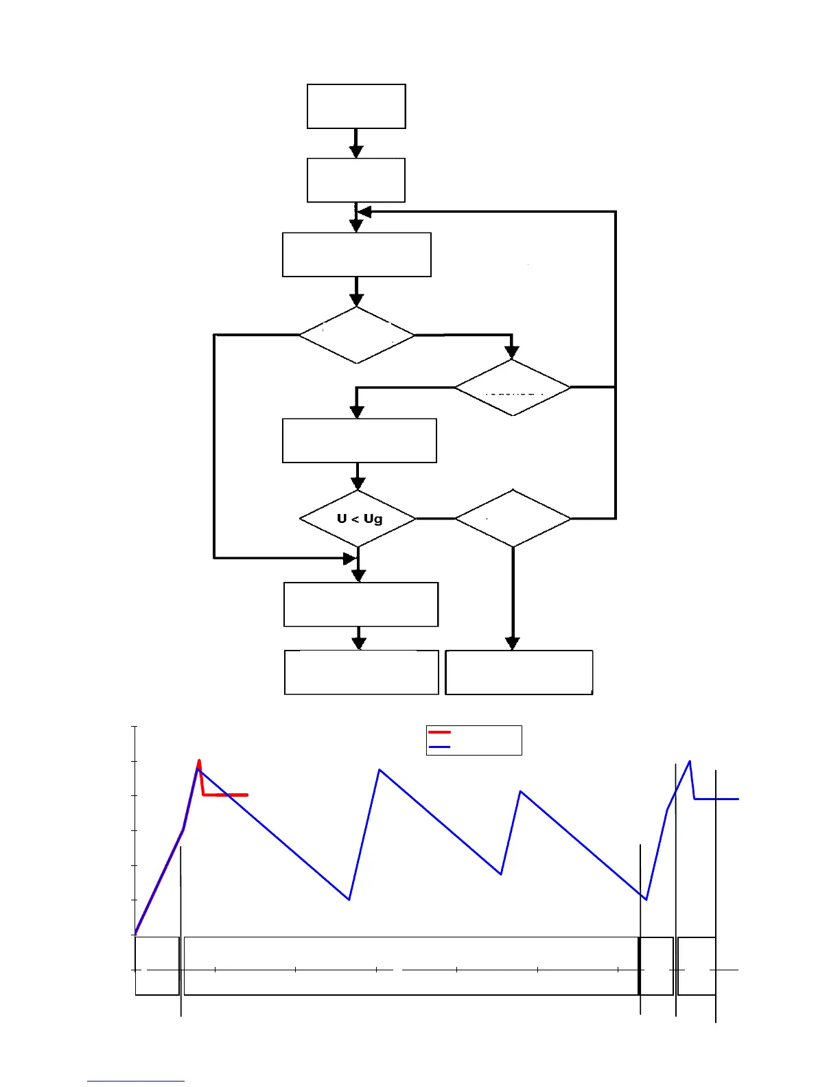
2.3.1 Système de détection du balourd FUCS
0
20
40
60
80
100
120
140
0 20406080100120140
time [s]
set speed
short FUCS
FUCS-time out
Distribution
phase
Meas-
uring
phase
Start
phase
Time_
out-
phase
Départ
essorage
Réglage de la
vitesse du tambour
à 80 tr/min
Phase de distribution
Vitesse tambour
= 120 tr/min
T out atteint?
Phase T out
V = 120 tr/min
SAUT 4?
Phase de mesure
V = 100 1/tmin
Le cycle dessorage
dépend du balourd.
Accélération forcée jusquà 800 tr/
min ou cycle supprimé sil sagit
dun essorage intermédiaire
FUCS court
FUCS-temps écoulé
Oui
Oui
Oui
Oui
No
No
No
No
Phase
de démar-
rage
Phase de distribution
Phase
de
temps
écoulé
Phase
de
mesure
heure [s]
réglage vitesse

Related product manuals