EasyManua.ls Logo

AIREDALE SmartCool D - W2 W2 Waterside Pressure Drop

Default Icon
218 pages
Print Icon
To Next Page IconTo Next Page
To Next Page IconTo Next Page
To Previous Page IconTo Previous Page
To Previous Page IconTo Previous Page
Loading...
SmartCool
TM
- D
Precision Air Conditioning
102
Precision Air Conditioning
Installation, Maintenance and Commissioning Manual :6877419 02/2013
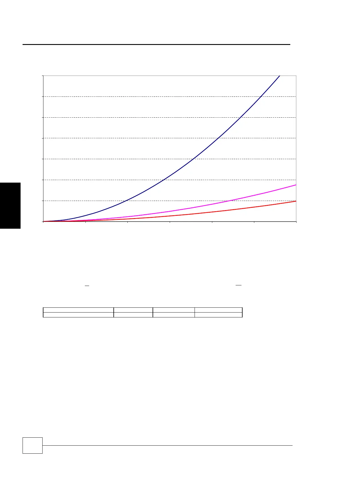
Waterside pressure drop - W2W2
Water cooled condenser
0
100
200
300
400
500
600
700
0 1 2 3 4 5 6
Flow Rate (l/s)
Pressure Drop (kPa)
1
2
3
Condenser pressure drop. (Per circuit)
1 SC19D055 2 SC19D070 – SC25D080 3 SC25D080 – SC31D130
(1) Includes condenser plate, 3 port valve and pipework.
(2) To calculate 3 port valve pressure drop:
P valve =
2
M
Q
where P = Pressure Drop in kPa, Q = Water Flow Rate in l/s and M =
36
Kv
(3) Fluid 100% water
M
Values
Model Sizes SC19D055 SC19D70-SC25D080 SC25D080 SC31D130
Chilled Water Valve
0.69 1.11 1.75
W2W2

Related product manuals