EasyManua.ls Logo

AIREDALE SmartCool D - Commissioning Data - Fan Motor Technology; EC Fan Motor Features; EC Fan Interrogation Procedure

Default Icon
218 pages
Print Icon
To Next Page IconTo Next Page
To Next Page IconTo Next Page
To Previous Page IconTo Previous Page
To Previous Page IconTo Previous Page
Loading...
Precision Air Conditioning
SmartCool
TM
– D
Precision Air Conditioning
165
Installation, Maintenance and Commissioning Manual :6877419 02/2013
Commissioning Data
Elec
tronically
Commutated (EC) Fan
Motor
Backward curved impellers, direct drive centrifugal fan assemblies with integral
rotor mounted motor which is statically and dynamically balanced for
quiet operation.
Designed for high corrosion resistance, the impellers are laser welded
aluminium with a galvanised rotor and die cast aluminium EC power module.
EC motors incorporate integrated electronics to convert AC power to DC for
efficient and accurate speed control and are adjustable via the microprocessor
display keypad.
The fans offer maximum airflow performance while keeping sound levels to a
minimum.
EC motors are DC motors with integrated AC to DC conversion; this gives the
flexibility of connecting to AC mains with the efficiency and simple speed control
of a DC motor. The EC fan offers significant power reduction in comparison with
equivalent AC fan at both full and modulated fan speeds. The inbuilt EC fan
control module allows for fan speed modulation from 15-100%, a standard AC
fans modulating range is typically 40-100% of full fan speed.
The EC fan presents superior energy efficiency at full and reduced fan speed
compared to the equivalent AC fan motor.
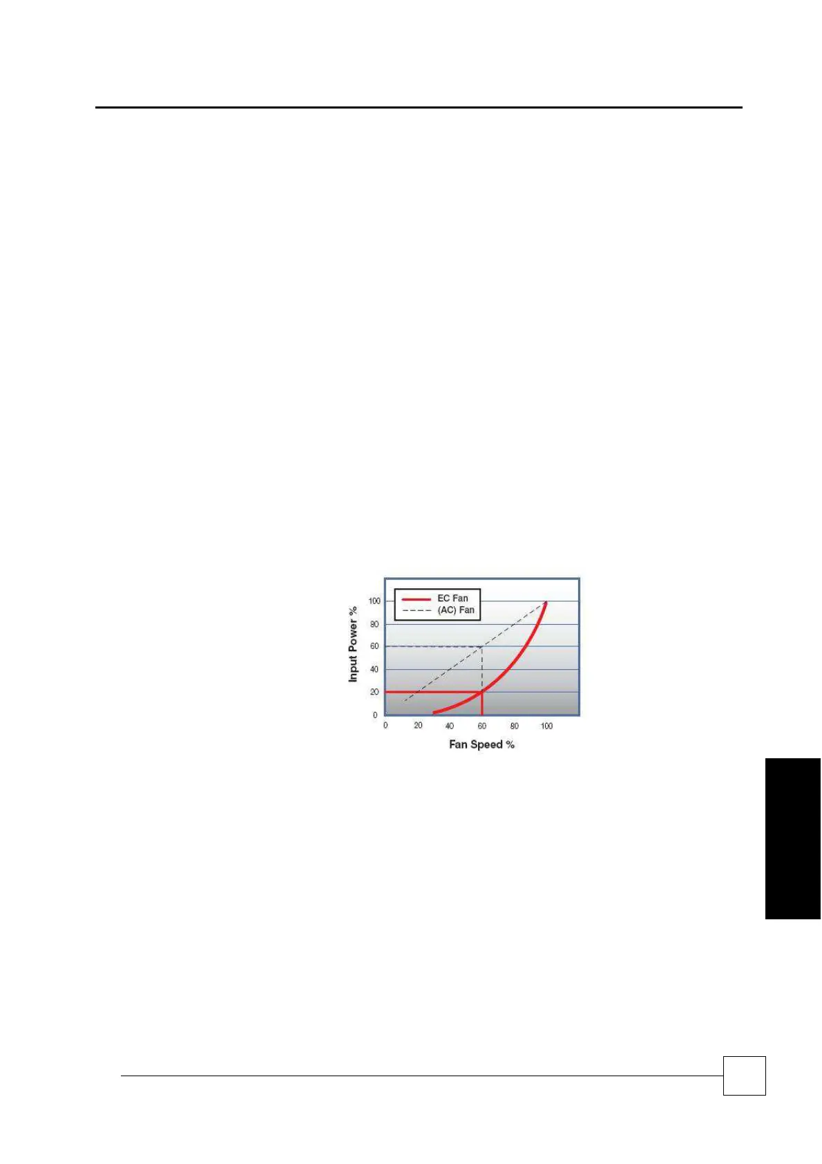
Standard Voltage Regulated fan speed controllers offer a linear response. By
comparison the EC fan is adjusted on demand via the unit microprocessor with
precision, offering substantial energy savings. The following illustration shows a
comparison of the typical power input required by each method
EC Fan interrogation
The EC fans can be interrogated by connecting a hardware interface kit to the
fan and PC. The kit comprises of a USB to RS232 9-pin “D-type” adapter. This
should be installed on the PC with the software supplied with the kit. The “COM
port of the USB to RS232 adapter should be assigned to a free COM port
between COM 1 and COM 4 via the system device manager.
Connect the RS232 to RS485 interface converter to the USB port of your PC via
the USB to RS232 serial interface lead and connect the RS485 output to the
Fan.
Tx += RS A
Tx - = RS B
The switch on the RS232 to RS485 should be set to RS485.
Commissioning

Related product manuals