EasyManua.ls Logo

AIREDALE SmartCool D - X2 C0 Waterside Pressure Drops

Default Icon
218 pages
Print Icon
To Next Page IconTo Next Page
To Next Page IconTo Next Page
To Previous Page IconTo Previous Page
To Previous Page IconTo Previous Page
Loading...
Precision Air Conditioning
SmartCool
TM
– D
Precision Air Conditioning
91
Installation, Maintenance and Commissioning Manual :6877419 02/2013
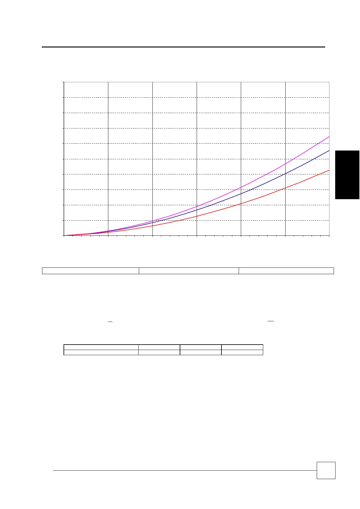
Waterside pressure drops – X2C0
0
20
40
60
80
100
120
140
160
180
200
0 1 2 3 4 5 6
Flow Rate (l/s)
Pressure Drop (kPa)
1
2
3
Key
1 SC19D033 - 045 2 SC25D045 - 055 3 SC31D055 - 075
Pressure drop including coil and valve
(1) Includes coil, 3 port valve and pipework.
(2) To calculate 3 port valve pressure drop:
P valve =
2
M
Q
where P = Pressure Drop in kPa, Q = Water Flow Rate in l/s and M =
36
Kv
(3) Fluid 100% water.
M
Values
Model Sizes SC19D33-45 SC25D45-55 SC31D55-75
Chilled Water Valve
1.11 1.11 1.11
X2C0

Related product manuals