EasyManua.ls Logo

Allison HD 4560P - Page 92

Allison HD 4560P
396 pages
Print Icon
To Next Page IconTo Next Page
To Next Page IconTo Next Page
To Previous Page IconTo Previous Page
To Previous Page IconTo Previous Page
Loading...
656 Copyright © 1998 General Motors Corp.
WTEC II ELECTRONIC CONTROLS TROUBLESHOOTING MANUAL
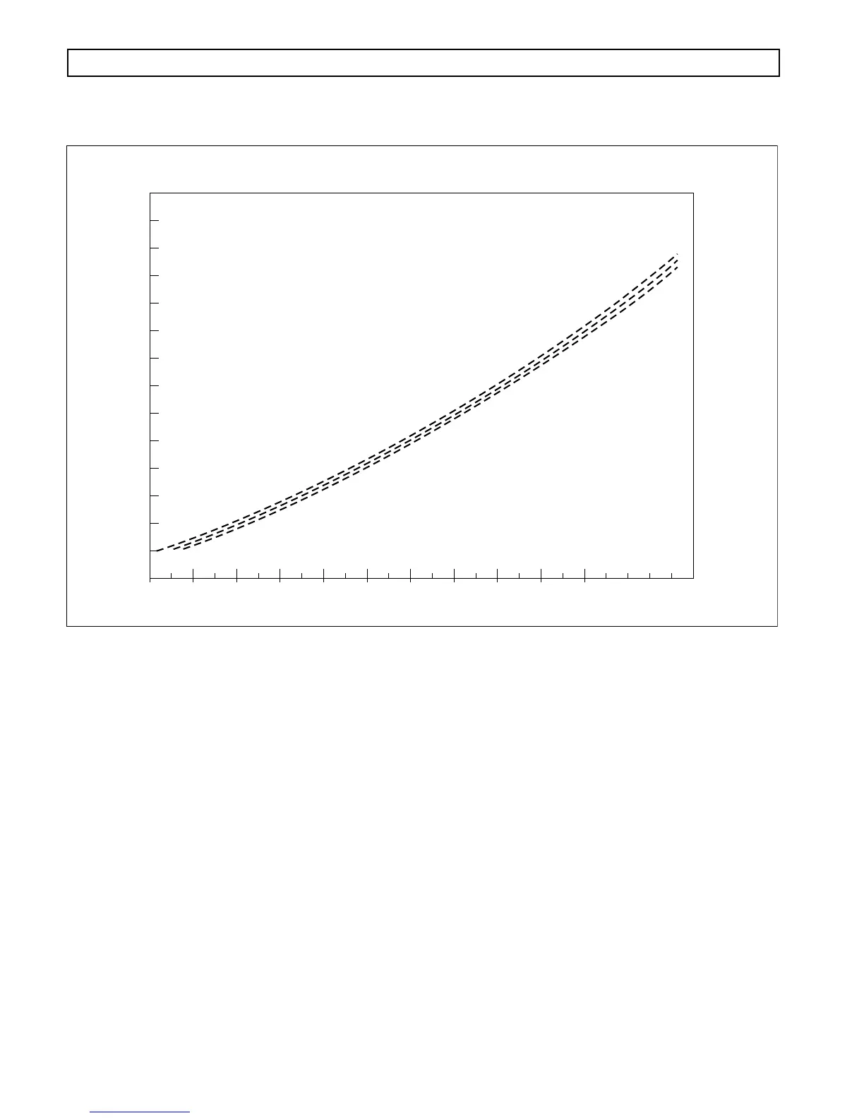
Figure 6–19. Temperature Sensor Chart
V01602.02
TEMP °C
-50
-40
-30
-20
-10
0
10
20
30
40
50
60
70
80
90
100
110
120
130
140
150
183
TEMP °F
-58
-40
-22
-4
14
32
50
68
86
104
122
140
158
176
194
212
230
248
266
284
302
361
OHMS
525
577
632
691
754
820
889
962
1039
1118
1202
1288
1379
1472
1569
1670
1774
1882
1993
2107
2225
2628
±1.6°C
-60
500
700
900
1100
1300
1500
1700
1900
2100
2300
2500
2700
2900
-40 --20 0 20 40 60 80 100 120 140
4 32 68 104 140 176 212 248 284 320 356
160 180
±2.0°C
±3.0°C
±4.0°C
±5.0°C
±7.0°C
LOW PT
TEMPERATURE SENSOR CHART
TEMPERATURE VS. RESISTANCE
±3.0°C
SUMP TEMPERATURE IN °F
TEMPERATURE SENSOR RESISTANCE IN OHMS
SUMP TEMPERATURE IN °C
CODE 33 XX — SUMP OIL TEMPERATURE SENSOR
(Figures 6–17, 6–18)

Table of Contents

Related product manuals