EasyManua.ls Logo

Alpha CB24 - Page 30

Alpha CB24
36 pages
Print Icon
To Next Page IconTo Next Page
To Next Page IconTo Next Page
To Previous Page IconTo Previous Page
To Previous Page IconTo Previous Page
Loading...
30
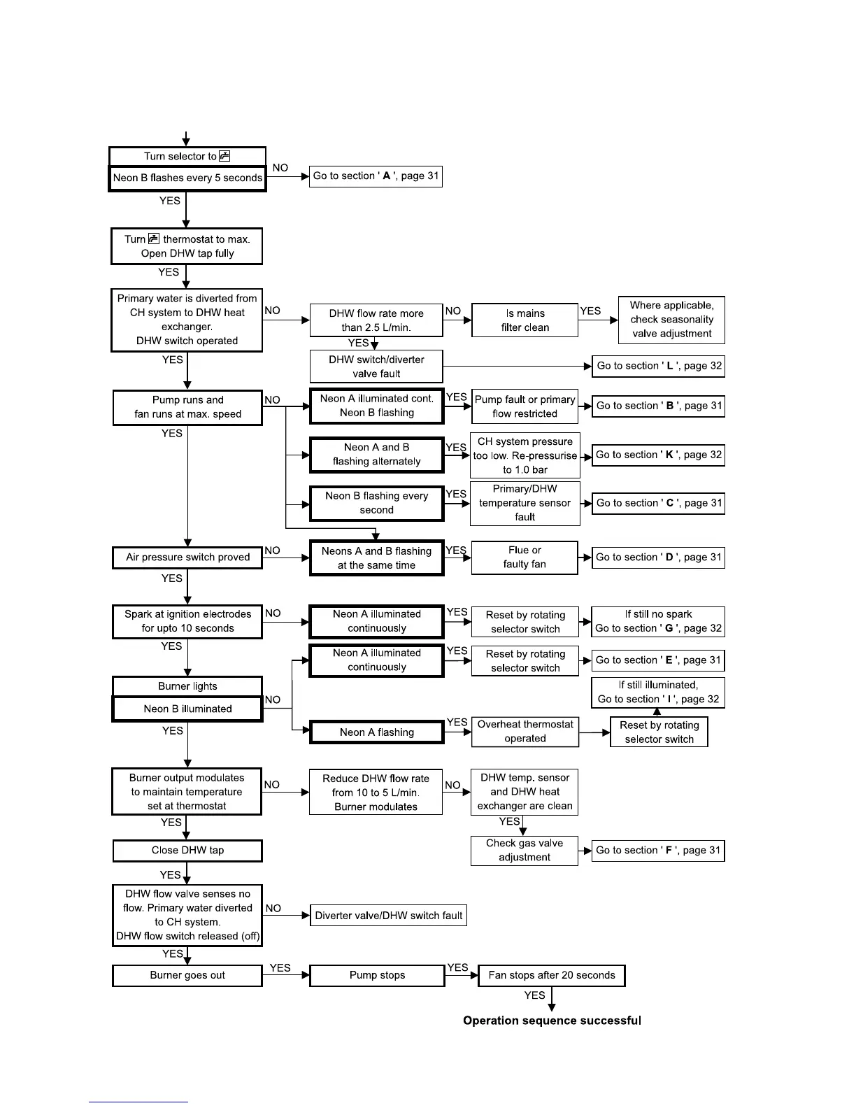
Alpha CB24/28 - Fault Finding
10.3 DOMESTIC HOT WATER - Follow operational sequence

Other manuals for Alpha CB24

Related product manuals