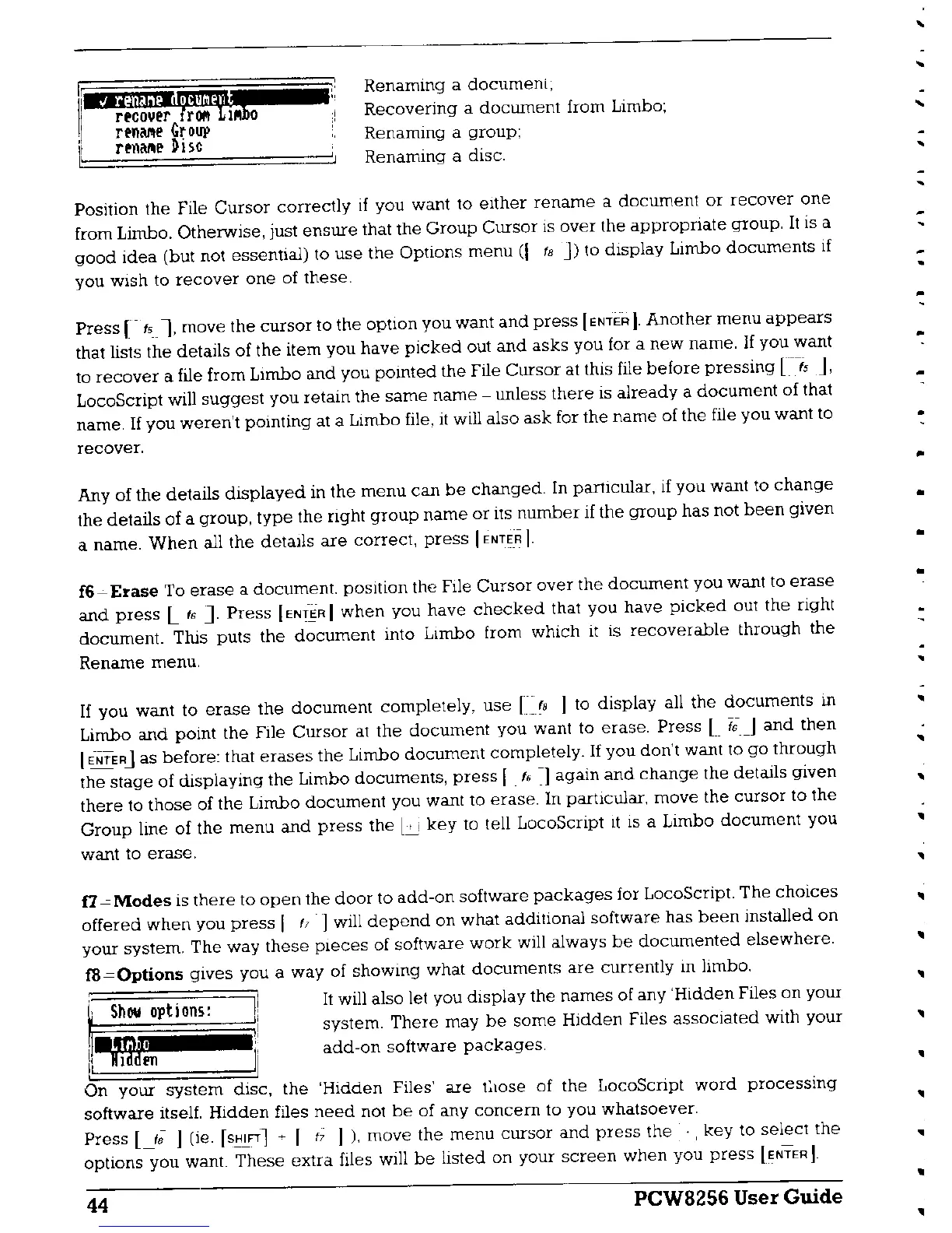
EasyManua.ls Logo

AMSTRAD PCW8256 - A Guide to LocoScript

AMSTRAD PCW8256
395 pages
Print Icon
To Next Page IconTo Next Page
To Next Page IconTo Next Page
To Previous Page IconTo Previous Page
To Previous Page IconTo Previous Page
Loading...

Table of Contents

Related product manuals