EasyManua.ls Logo

Atari Megafile - Page 26

Atari Megafile
64 pages
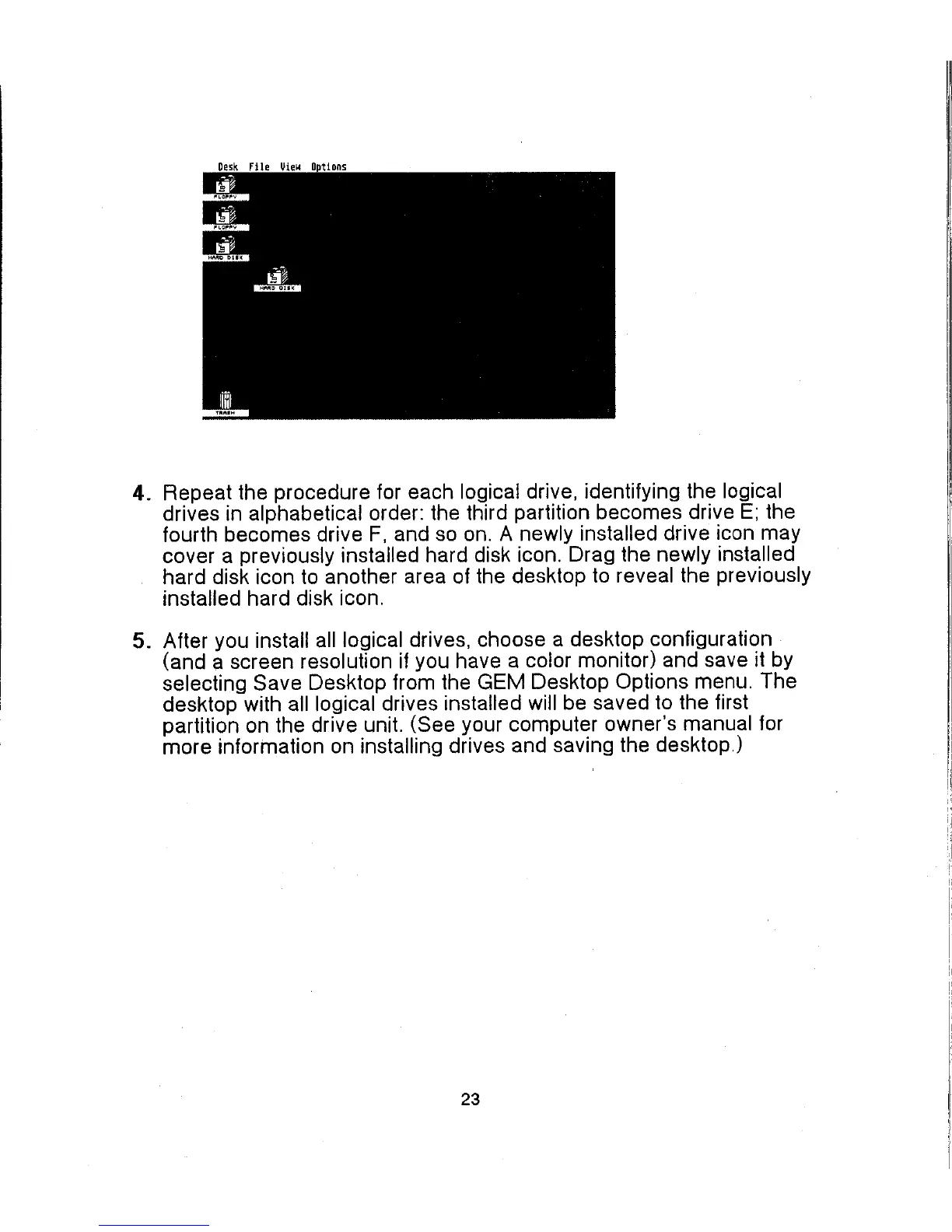
Print Icon
To Next Page IconTo Next Page
To Next Page IconTo Next Page
To Previous Page IconTo Previous Page
To Previous Page IconTo Previous Page
Loading...

Related product manuals