EasyManua.ls Logo

Athletic 500E - Hand Pulse Measurement Guide; Procedure for Hand Pulse; Attention for Hand Pulse; Observations for Hand Pulse

Athletic 500E
52 pages
Print Icon
To Next Page IconTo Next Page
To Next Page IconTo Next Page
To Previous Page IconTo Previous Page
To Previous Page IconTo Previous Page
Loading...
17
For more breath, control your Target Heartbeat Range (THR) via the monitor's Hand Pulse system.
Procedure: This function allows the monitoring of your heart, counting in heartbeats per minute (BPM). To view
your heart rate reading on the monitor, follow the instructions:
1: Place your hands on the heart rate reading sensors, Hand Grip, located on the monitor;
2: Keep your hands stable and centered on the sensors. Keep your arm, forearm and elbow as relaxed as you can.
This will help you to keep your hands steady on the Hand Grip during the measurement;
3: In a few seconds the heart symbol starts to flash and the value of your heartbeat appears;
4: Wait at least 10s until your pulse, indicated on the monitor, stabilizes;
5: Keep your hand on the sensors while you want to view your heart rate reading.
BEFORE STARTING ANY PHYSICAL ACTIVITY, CONSULT A DOCTOR
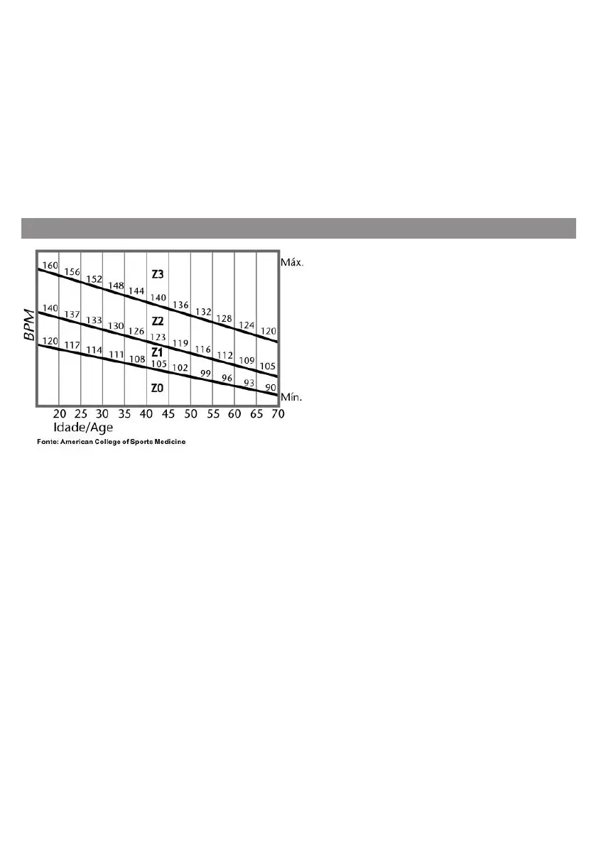
Z3 - Risk Zone
It is not recommended to train above 80% of the
maximum heart rate, as it is in the heart risk zone.
Z2 - Aerobic Zone
Cardio-respiratory training zone, between 70% and
80% of the maximum heart rate.
Z1 - Weight Loss Zone
Training zone for weight loss, cardio-respiratory,
between 60% and 70% of the maximum heart rate.
Z0 - Moderate Activity Zone
Be l ow 6 0% o f t he m ax im u m h e ar t r a te .
Recommended for people who are inactive, who
have special conditions or need rehabilitation for a
medical problem.
ATTENTION
A - The measurement is affected by movements, exercises, hand position, pressure exerted, oiliness on the skin,
emotions and other factors.
B - Heart rate variations of up to 10% BPM up or down can be considered normal. In this case, use the average or
central value as a reference. To get a more accurate measurement of your heart rate, we suggest using wristbands or
a chest band or a medical device.
C - If you notice large and sudden variations (for example: from 85 BPM it drops to 40 and then goes up to 230) this
means that you are not holding the Hand Grip correctly.
D - Sliding your hand over the Hand Grip or squeezing and relieving it also impairs reading.
E - Using the Hand Grip sensor correctly requires some training. Try several positions and adopt the one that gives
the best result for your case.
F - Interruptions in the heart's blinks indicate that your hands are not well positioned or that the pressure exerted is
inadequate.
G - Do not use the Hand Grip as support, as it may damage it.
H - Hold the Hand Grip only long enough to take the readings, according to the desired periodicity.
I - To support the entry and exit of the equipment, during exercise or in case of imbalance or emergency, use the
handlebars.
Observations: The values in this monitor inform reference values, and cannot be considered with sufcient
accuracy for clinical evaluation.
Hand Pulse (if available)