EasyManua.ls Logo

Carrier Aquasnap 30RB 045R - Variable-Speed Pump - Pressure Differential Control

Carrier Aquasnap 30RB 045R
56 pages
To Next Page IconTo Next Page
To Next Page IconTo Next Page
To Previous Page IconTo Previous Page
To Previous Page IconTo Previous Page
Loading...
8 - WATER CONNECTIONS
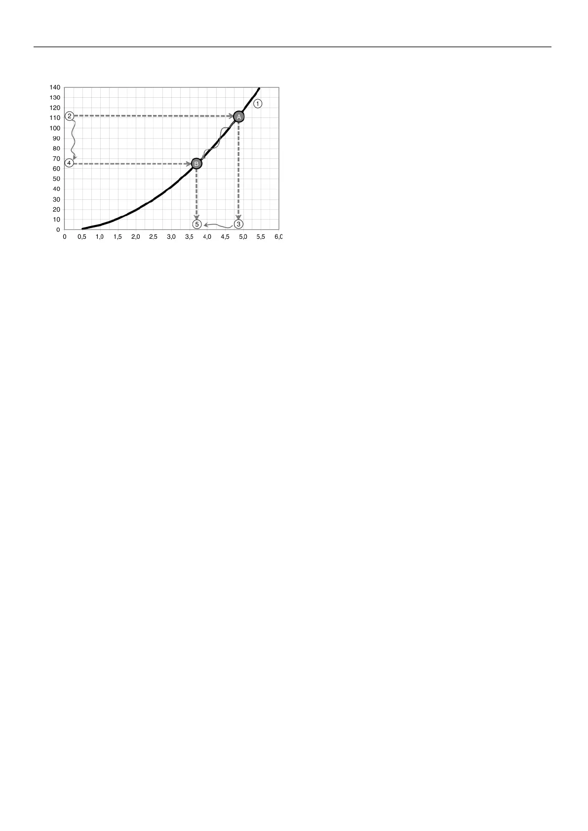
Example : Unit with specic nominal ow 3.7 l/s
Water ow rate, l/s
Pressure drop, kPa
Key
1  "Unit pressure drop (including internal water circuits)/ow rate" curve
2 With the valve open the pressure drop read (111 kPa) gives point A on the curve.
A Operating point reached with the valve open.
3  With the valve open, the ow rate achieved is 4.8 l/s: this is too high, and the 
valve must be closed again.
4 If the valve is partially closed, the pressure drop read (65 kPa) gives point B on
the curve.
B Operating point reached with the valve partially closed.
5  With the valve partially closed, the ow rate achieved is 3.7 l/s: this is the required 
ow rate and the valve is in the correct position.
8.4 - Units with hydraulic module and xed-
speed pump (for brine application only)
8.4.1 - General information
See chapter ‘‘Units without hydraulic module’’.
8.4.2 - Hydraulic circuit cleaning procedure
• Open all valves completely (item 19).
• Start up the system pump.
Let  the  pump  run  for  2  hours  continuously  to  ush  the 
system's hydraulic circuit (presence of contaminating
solids).
• Perform another reading.
• Compare this value to the initial value.
A reducing value of the ow indicates that the lters on the 
system need to be removed and cleaned. In this case, close
the Shut-o󰀨 valves on the water inlet and outlet (item 19) 
and remove the lters (items 20 and 1) after draining the 
hydraulic part of the unit (item 6).
• Remove the air from the circuit (items 5 and 14).
Repeat until all fouling is removed from the lter.
8.4.3 - Water ow rate adjustment procedure
Once  the  circuit  is  cleaned,  read  the  ow  value  on  the  user 
interface and compare it with design value for the system. If the
value of the ow is greater than the specied value, this indicates 
that the overall pressure drop in the system is too low against the
available static pressure generated by the pump.
In this case, close the control valve and read the new ow rate 
value. Repeat as necessary until a specific pressure drop
corresponding to the unit's nominal ow rate at the operation point 
is achieved.
NOTE: If the network has an excessive pressure drop in
relation to the available static pressure delivered by the unit
pump, the nominal water ow cannot be obtained (lower
resulting ow) and the di󰀨erence in temperature between the
water inlet and outlet of the evaporator will be increased.
To reduce the system's hydraulic network pressure drop:
Reduce the pressure drops of individual components
(bends, level changes, valves etc.) as much as possible
• Use the correct pipe diameter;
• Avoid extending the hydraulic systems when possible.
8.5 - Units with hydraulic module and variable-
speed pump - pressure di󰀨erential control
The system ow rate has not been set to a rated value. The ow 
rate will be adjusted, by varying the pump speed, to maintain a
constant operating pressure di󰀨erential value dened by the user. 
The pressure sensor at the unit outlet (item 10 in the typical
hydraulic circuit diagram) is used as the means of control.
The system calculates the measured pressure di󰀨erential value, 
compares it with the setpoint value selected by the user and
modulates the pump speed accordingly. The result is:
an increased ow rate, if a lower value than the set point is 
measured,
an decreased ow rate, if a higher value than the set point 
is measured.
This ow rate variation is realised, observing the minimum and 
maximum admissible unit ow rates as well as the minimum and 
maximum pump supply frequency values.
The pressure di󰀨erential value maintained can in certain cases 
be di󰀨erent from the set point value:
If the set point value is too high (achieved for a higher ow 
rate than the maximum value or a higher frequency than
the maximum value), the system settles at the maximum
ow rate or maximum frequency and this results in a lower 
pressure di󰀨erential than the set point.
If the set point value is too low (achieved for a lower ow 
rate that the minimum value or a lower frequency than the
minimum value), the system settles at  the minimum ow 
rate or minimum frequency and this results in a higher
pressure di󰀨erential than the set point.
Contact Carrier Service to discuss the implementation of the
procedures set out below.
28

Table of Contents

Related product manuals