EasyManua.ls Logo

Casio SF-4600B - Page 14

Casio SF-4600B
27 pages
Print Icon
To Next Page IconTo Next Page
To Next Page IconTo Next Page
To Previous Page IconTo Previous Page
To Previous Page IconTo Previous Page
Loading...
PART
3
Data
Management
Functions
Editing,
Deleting,
and
Copying
data
Editing,
Deleting,
and
Copying
data
Use
the
procedures
described
here
to
edit,
delete
and
copy
data.
To
edit
a
data
item
1.
Enter
the
mode
you
want
to
edit
a
data
item.
2.
Use
index
search,
initial
character
search,
or
mode
search
to
find
the
data
item
you
want
to
edit,
3.
Move
the
entry
of
the
data
item
you
want
to
edit
into
the
top
line
(second
line
SDeme
in
the
Schedule
Keeper
Made)
of
the
index
display.
At
this
point,
you
may
want
to
switch
to
the
full
data
display
by
pressing
DISP
CHNG.
The
following
steps
are
the
same
regardiess
of
whether
you
are.
continuing
from
the
index
display
or
the
data
display.
Press
FUNC.
Press
1
to
select
ITEM
EDIT.
To
clear
the
function
menu
without
selecting
anything,
press
ESC.
.
Make
any
changes
you
want.
To
cancel
the
editing
operation
without
making
any
changes,
press
ESC
or
CLEAR.
After
making
the
changes
you
want,
press
SET
fo
store
the
data
item
with
its
new
changes.
To
delete
a
single
data
item
J
2.
3
eon
a
48
Enter
the
mode
you
want
to
delete
a
data
item.
Use
index
search,
initial
character
search,
or
mode
search
to
find
the
data
item
you
want
to
delete.
Move
the
entry
of
the
data
item
you
want
to
delete
into
the
top
line
{second
line
in
the
Schedule
Keeper
Mode)
of
the
index
display.
Press
FUNC.
Press
2
to
select
ITEM
DELETE.
To
clear
the
function
menu
without
deleting
anything,
press
ESC.
|.
Press
SET
to
clear
the
data
item
you
selected
or
ESC
to
abort
the
operation
without
deleting
anything.
Remember
that
the
delete
operation
cannot
be
undone.
To
delete
all
data
items
in
a
mode
important!
; :
use
the
following
procedure
to
delete
ail
data
items
in
the
Telephone
Directory,
Memo
Mode,
and
Reminder
Mode.
To
delete
multiple
data
items.
He
the
Schedule
Keeper
Mode,
see
the
procedure
under
“To
delete
multiple
data
items
in
the
Schedule
Keeper
Mode.”
Enter
the
mode
where
you
want
to
delete
ail
data
items.
Press
FUNC
twice
to
display
the
second
function
menu.
Press
2
to
select
ALL
DELETE.
:
To
clear
the
function
menu
without
deleting
anything,
press
ESC.
Fe
Press
SET
to
delete
all
data
items
in
the
current
mode
or
ESC
to
abort
the
operation
without
deieting
anything.
«
Remember
that
the
delete
operation
cannot
be
undone.
Reon
To
delete
multiple
data
items
in
the
Schedule
Keeper
Mode
1.
Enter
the
Schedule
Keeper
Mode.
Press
FUNC
twice
to
display
the
second
function
menu.
Press
2
to
sefect
ALL
DELETE.
; :
To
clear
the
function
menu
without
deleting
anything,
press
ESC.
ETE
TT
Oe
TETE
tue.
19
sac
e753
TO
YERR?
aS
Cs)
ewn
«
Multipte
item
delete
in
the
Schedule
Keeper
Mode
always
starts
wih
erway
1,
1901.
You
must
specify
the
date
up
to
which
you
want
items
deleted.
F
4.
input
the
year
up
to
which
you
want
to
delete
Schedule
Keeper
data
an
press
DATE/TIME.
Input
the
month
and
press
DATE/TIME,
Input
the
date
and
press
DATE/TIME.
NOW
deleting
anything.
*
Note
that
the
above
operation
does
not
affect
Reminder
Mode
annual
and
monthly
reminders
that
appear
in
the
Schedule
Keeper
Mode
displays.
*
Remember
that
the
delete
operation
cannot
be
undone.
i
from
January
1,
1901
up
Press
SET
to
delete
all
Schedule
Keeper
data
items
i
¢
ine
date
that
you
specified
above,
or
ESC
to
abort
the
operation
without
49
A
ST
ECS
EP
TOA
SR
EE
50
PART
3
Data
Management
Functions
To
move
a
Schedule
Keeper
data
to
a
different
date
1.
Enter
the
Schedule
Keeper,
2.
Use
index
search,
initial
character
search,
or
mode
search
to
find
the
data
entry
that
contains
the
data
you
want
to
move.
You
cannot
use
this
procedure
to
edit
Reminder
Mode
data.
Mave
the
data
you
want
to
edit
into
the
second
line
of
the
index
display.
Press
FUNC
twice
to
display
the
second
function
menu.
Press
3
to
select
DATE
CHANGE.
To
clear
the
function
menu
without
selecting
anything,
press
ESC.
Input
the
year
of
the
date
and
press
DATE/TIME.
input
the
month
of
the
date
and
press
DATE/TIME.
Input
the
date
and
press
DATE/TIME
to
move.
the
data
and
return
to
the
Schedule
Keepar,
with
the
display
showing
the
date
you
specified.
After
making
any
changes
you
want
in
the
data,
press
SET
to
store
the
data
entry.
PNOeMawe
o
To
copy
a
data
Item
The
Copy
Function
ets
you
duplicate
selected
data.
This
function
helps
to
cut
down
input
time
when
you
have
multiple
data
items
with
similar
data.
You
simply
copy
the
original
and
then
make
any
Necessary
changes
fo
create
a
new
data
item.
Enter
the
mode
you
want
to
copy
a
data
item.
Search
for
and
display
the
data
you
want
to
copy.
Press
FUNC.
Press
3
to
select
ITEM
COPY.
At
this
time,
the
copy
of
the
data
you
selected
in
step
2
above
appears,
along
with
the
cursor.
you
are
copying
Schedule
Keeper
data,
the
following
screen.
appears
at
this
Point
to
ask
you
to
specify
the
date
where
the
data
should
be
copied
to.
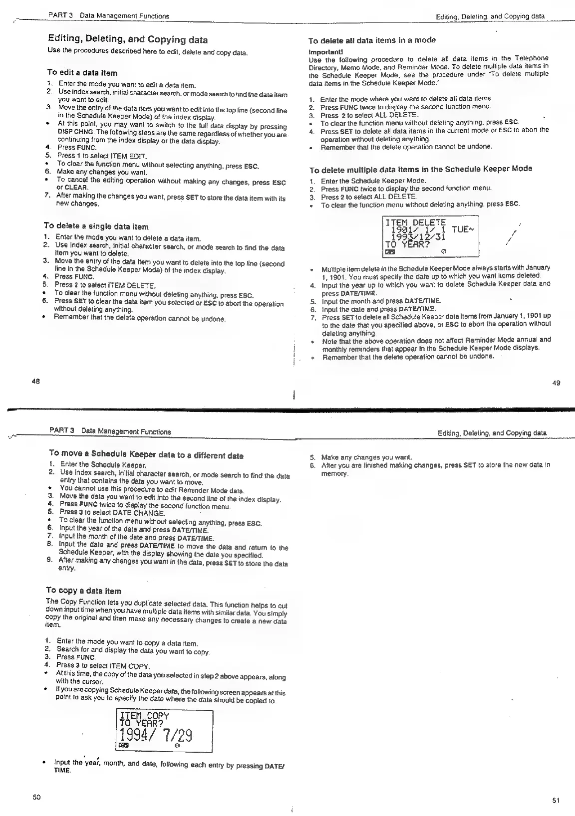
ITEM
COPY
TO
YEAR?
1994/°7/29
month,
and
date,
following
each
entry
by
pressing
DATEY
shone
.
¢
Input
the
year,
TIME,
Editing,
Deleting,
and
Copying
data
5.
Make
any
changes
you
want.
6.
After
you
are
finished
making
changes,
press
SET
to
store
the
new
data
in
memory
51

Other manuals for Casio SF-4600B

Related product manuals