EasyManua.ls Logo

Casio SF-7900E - Page 24

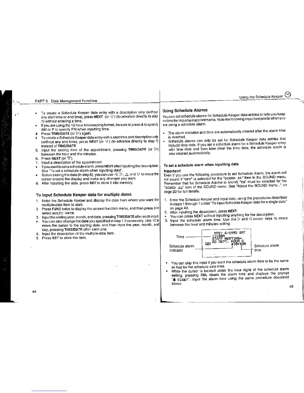
Casio SF-7900E
60 pages
Print Icon
To Next Page IconTo Next Page
To Next Page IconTo Next Page
To Previous Page IconTo Previous Page
To Previous Page IconTo Previous Page
Loading...

Other manuals for Casio SF-7900E

Related product manuals