EasyManua.ls Logo

DAEWOO ELECTRONICS FRS-U20IC - Page 47

DAEWOO ELECTRONICS FRS-U20IC
83 pages
Print Icon
To Next Page IconTo Next Page
To Next Page IconTo Next Page
To Previous Page IconTo Previous Page
To Previous Page IconTo Previous Page
Loading...
46
Start
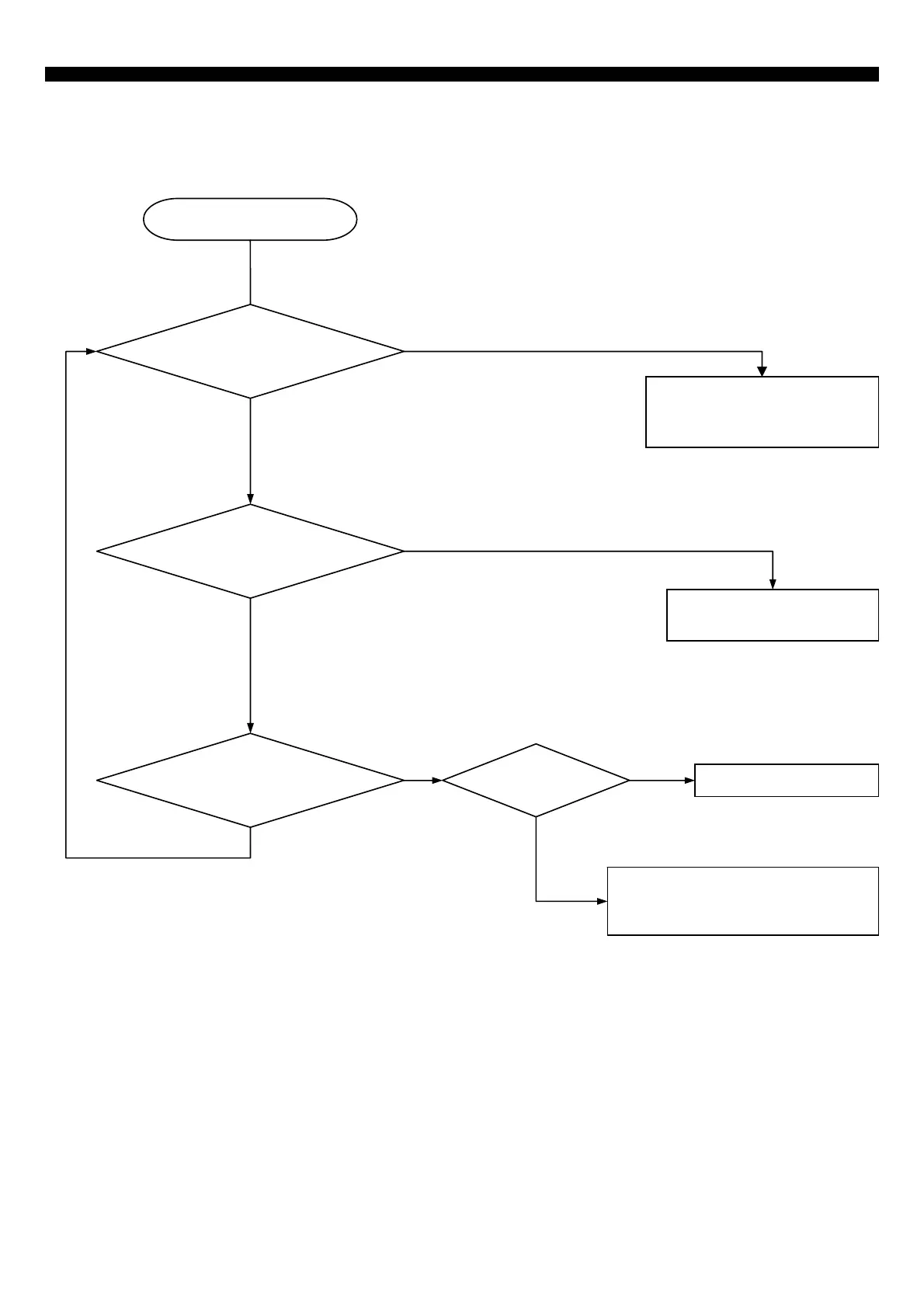
Explain the temperature modes.
Advise to set the temp. to
“Middle” or “LOW” mode.
N
Repair and/or Change
the R-check valve.
Change the R-sensor.
Y
N
N
Y
Check the R-sensor connection.
(Check the connector to Main PCB.)
N
Y
Refer to “Repair /Change
of Check Valve”.
Y
6-3-4. Excessive Refrigeration of Vegetable Case
Refrigerator temp.
mode is “HIGH” ?
R-check valve
Works OK ?
Is there any
R-sensor error code ?
R-sensor is OK ?

Related product manuals