EasyManua.ls Logo

Daikin FH100BVE - Page 106

Daikin FH100BVE
501 pages
Print Icon
To Next Page IconTo Next Page
To Next Page IconTo Next Page
To Previous Page IconTo Previous Page
To Previous Page IconTo Previous Page
Loading...
Troubleshooting by Remote Controller Si20-701_B
99
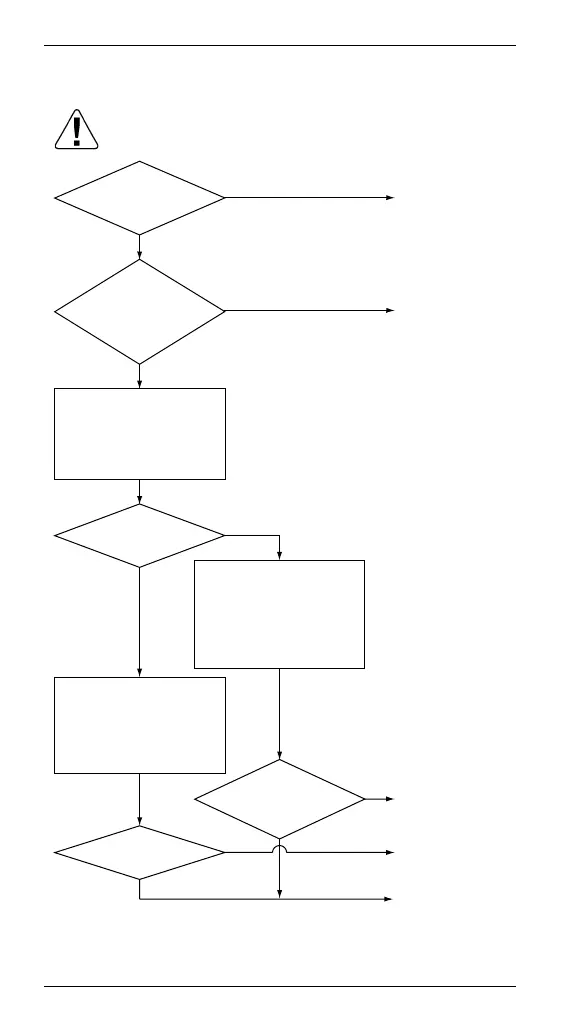
Troubleshooting
NO
NO
YES
NO
YES
YES
Is the
connector correctly
connected?
NO
Connect
correctly.
NO
YES
Is the
limit switch's
transfer connector
correctly
connected?
Connect
correctly.
YES
Does the
swing flap motor
swing?
Replace the
indoor unit PCB.
Replace the
indoor unit PCB.
Replace the
swing flap motor.
Disconnect the connector,
turn OFF the power
supply and turn the power
ON, and check if the limit
switch has continuity
when the power supply is
restarted.
Turn OFF the power
supply and turn the power
ON, and measure the
output voltage of
connector when the
power supply is restarted.
Turn OFF the power
supply and turn the power
ON, and check whether
the swing flap motor
swings when the power
supply is restarted.
Does
continuity/ no
continuity
reverse?
220-240 VAC?
Caution
Be sure to turn off the power switch before
connecting or disconnecting connectors, or parts
may be damaged.

Table of Contents

Related product manuals