EasyManua.ls Logo

Daikin FXFQ-A - Page 23

Daikin FXFQ-A
41 pages
Print Icon
To Next Page IconTo Next Page
To Next Page IconTo Next Page
To Previous Page IconTo Previous Page
To Previous Page IconTo Previous Page
Loading...
3
1
11
VRV Systems • Indoor Unit
21
Indoor Unit • Round flow cassette • FXFQ-A
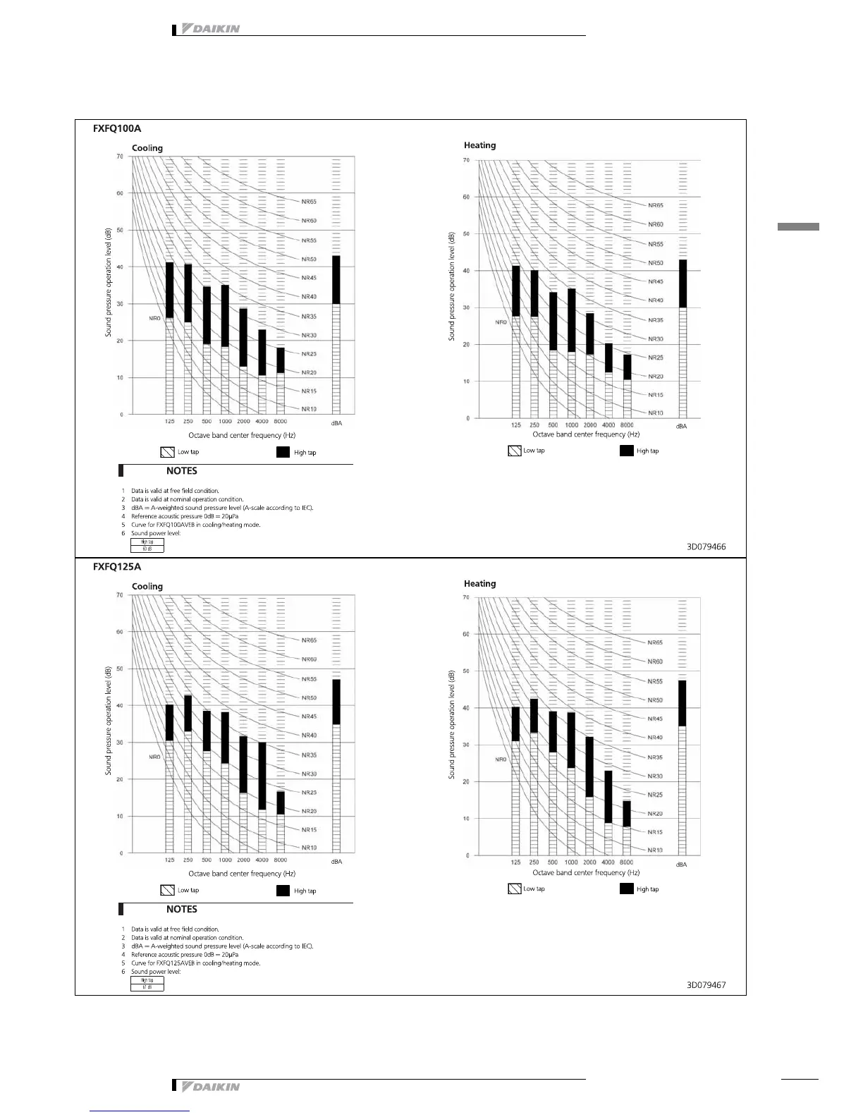
11 Sound data
11 - 1 Sound Pressure Spectrum

Related product manuals