EasyManua.ls Logo

Focal CMS 50 - Page 26

Focal CMS 50
40 pages
Print Icon
To Next Page IconTo Next Page
To Next Page IconTo Next Page
To Previous Page IconTo Previous Page
To Previous Page IconTo Previous Page
Loading...
Contrôles CMS 50 et CMS 65
1 HI-PASS FILTER
Le commutateur HI-PASS FILTER permet d’activer ou non un filtre passe-haut 12 dB/octave.
Il est conseillé de régler le commutateur sur FULL RANGE (désactivation du filtre passe-haut)
dans le cas d’une utilisation en configuration stéréo (2.0). Il est conseillé d’utiliser les positions
45, 60 ou 90 Hz dans le cas d’une utilisation du système avec un ou plusieurs caisson(s) de
grave.
2 LF SHELVING
Le commutateur LF SHELVING permet d’activer ou non une correction du niveau sonore en
dessous de 450 Hz. Il est conseillé de régler le commutateur LF SHELVING sur +2 dB lorsque
l’acoustique du local d’écoute atténue naturellement cette plage de fréquences. Il est conseillé
de régler le commutateur LF SHELVING sur FLAT (plat) lorsque le local d’écoute est acousti-
quement neutre. Il est conseillé de régler le commutateur LF SHELVING sur –2, -4 ou -6 dB
lorsque les enceintes sont placées à proximité d’un mur ou d’un angle.
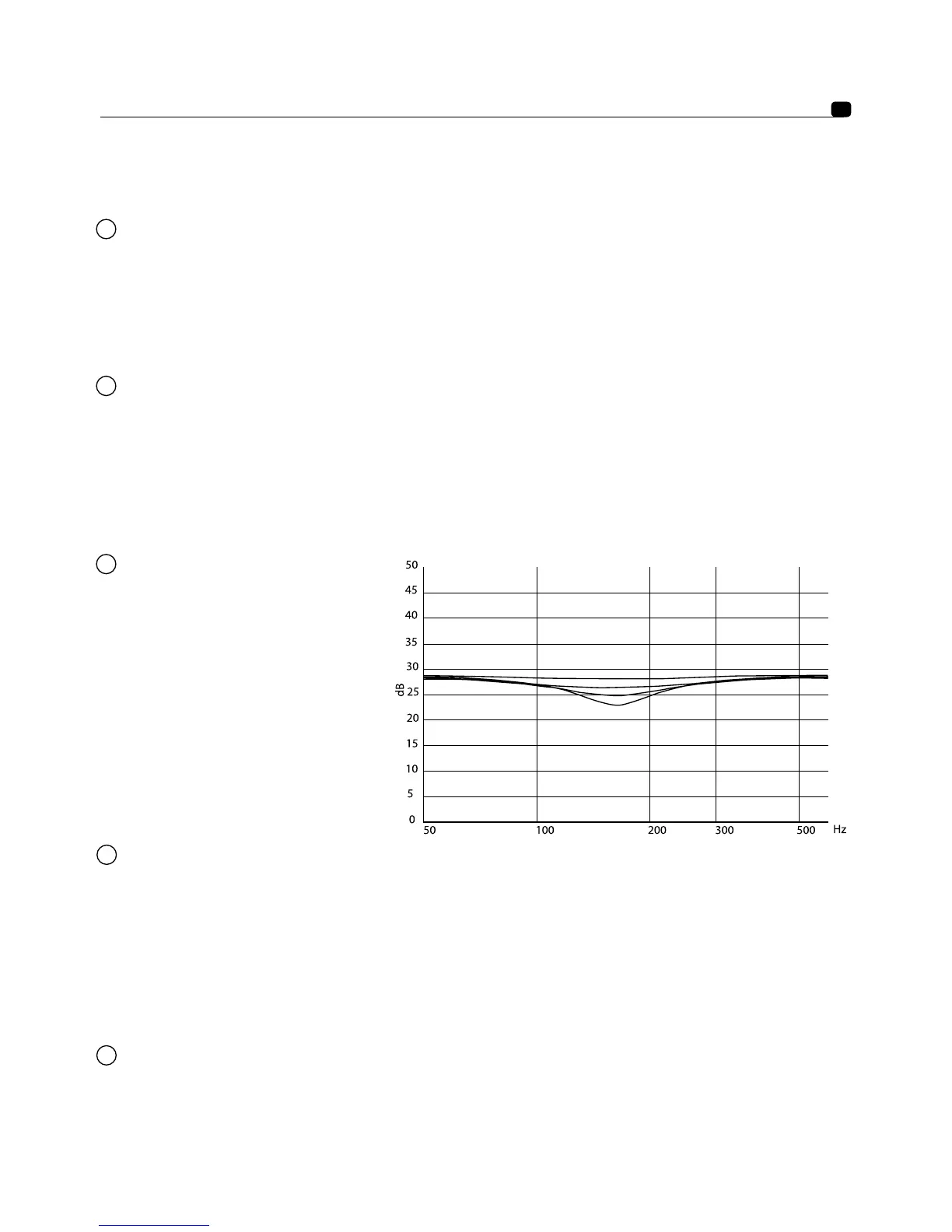
3 DESKTOP NOTCH
Le commutateur DESKTOP
NOTCH permet d’activer ou non
une correction de niveau sonore
à une fréquence centrale de 160
Hz pour un facteur Q de 2. Il est
conseillé de régler le commutateur
sur –2, -4 ou –6 dB lorsque les en-
ceintes sont positionnées sur une
table, un bandeau de console ou
tout autre support engendrant des
réflexions.
CMS
Manuel d’utilisation
26
4 HF SHELVING
Le commutateur HF SHELVING permet d’activer ou non une correction du niveau sonore à
partir de 4,5 kHz. Il est conseillé de le régler sur :
+2 dB lorsque l’acoustique du local d’écoute atténue naturellement cette plage de fréquen-
ces (environnement mat).
• FLAT (plat) lorsque le local d’écoute est acoustiquement neutre.
–2 ou –4 dB lorsque l’acoustique du local d’écoute augmente naturellement cette plage de
fréquences (environnement brillant).
5 INPUT LEVEL
Le commutateur INPUT LEVEL a pour fonction de faire correspondre la sensibilité de sortie
de la console de mixage, ou tout autre source, avec la sensibilité d’entrée des enceintes. Les
sensibilités disponibles sont +4 dBu, 0, -10 dBv. La position +4 dBu correspond au standard
professionnel. La position -10 dBv correspond au standard grand public. La position 0 est une
position intermédiaire.

Other manuals for Focal CMS 50

Related product manuals