EasyManua.ls Logo

Focal CMS - Page 27

Focal CMS
60 pages
Print Icon
To Next Page IconTo Next Page
To Next Page IconTo Next Page
To Previous Page IconTo Previous Page
To Previous Page IconTo Previous Page
Loading...
Contrôles CMS 40, CMS 50 et CMS 65
1 HI-PASS FILTER (CMS 50 et CMS 65)
Le commutateur HI-PASS FILTER permet d’activer ou non un filtre passe-haut 12 dB/octave. Il est conseillé de régler
le commutateur sur FULL RANGE (désactivation du filtre passe-haut) dans le cas d’une utilisation en configuration
stéréo (2.0). Il est conseillé d’utiliser les positions 45, 60 ou 90 Hz dans le cas d’une utilisation du système avec un
ou plusieurs caisson(s) de grave.
2 LF SHELVING
Le commutateur LF SHELVING permet d’activer ou non une correction du niveau sonore en dessous de 450 Hz. Il
est conseillé de régler le commutateur LF SHELVING sur +2 dB lorsque l’acoustique du local d’écoute atténue natu-
rellement cette plage de fréquences. Il est conseillé de régler le commutateur LF SHELVING sur FLAT (plat) lorsque le
local d’écoute est acoustiquement neutre. Il est conseillé de régler le commutateur LF SHELVING sur –2, -4 ou -6 dB
lorsque les enceintes sont placées à proximité d’un mur ou d’un angle.
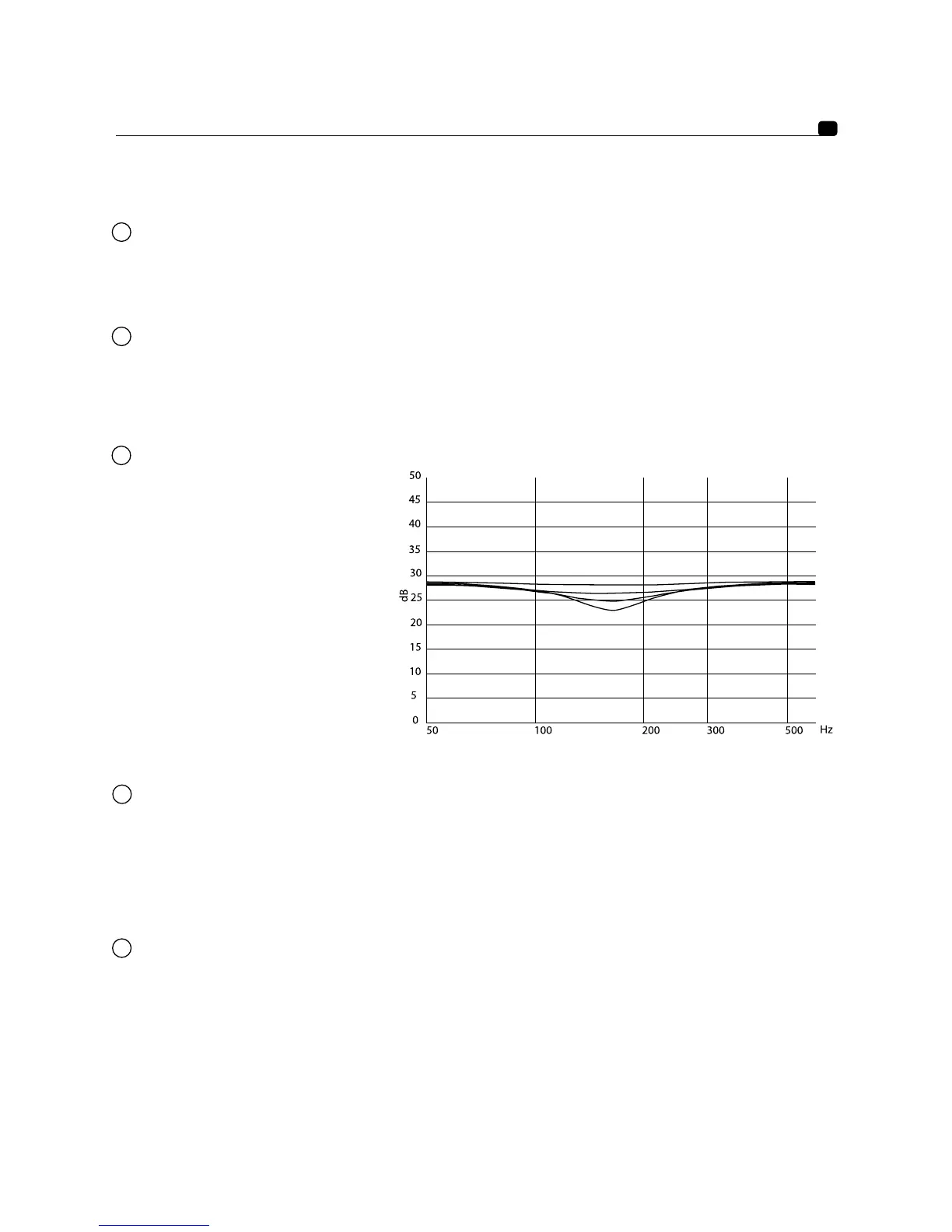
3 DESKTOP NOTCH
(CMS 50 et CMS 65)
Le commutateur DESKTOP NOTCH permet
d’activer ou non une correction de niveau
sonore à une fréquence centrale de 160 Hz
pour un facteur Q de 2. Il est conseillé de
régler le commutateur sur –2, -4 ou –6 dB
lorsque les enceintes sont positionnées sur
une table, un bandeau de console ou tout
autre support engendrant des réflexions.
CMS
Manuel d’utilisation
4 HF SHELVING
Le commutateur HF SHELVING permet d’activer ou non une correction du niveau sonore à partir de 4,5 kHz. Il est
conseillé de le régler sur :
+2 dB lorsque l’acoustique du local d’écoute atténue naturellement cette plage de fréquences (environnement
mat).
• FLAT (plat) lorsque le local d’écoute est acoustiquement neutre.
–2 ou –4 dB lorsque l’acoustique du local d’écoute augmente naturellement cette plage de fréquences (environ-
nement brillant).
5 INPUT LEVEL
Le commutateur INPUT LEVEL a pour fonction de faire correspondre la sensibilité de sortie de la console de mixage,
ou tout autre source, avec la sensibilité d’entrée des enceintes. Les sensibilités disponibles sont +4 dBu, 0, -10 dBv.
La position +4 dBu correspond au standard professionnel. La position -10 dBv correspond au standard grand public.
La position 0 est une position intermédiaire.
27

Related product manuals