EasyManua.ls Logo

GE 16 - Page 122

GE 16
138 pages
Print Icon
To Next Page IconTo Next Page
To Next Page IconTo Next Page
To Previous Page IconTo Previous Page
To Previous Page IconTo Previous Page
Loading...
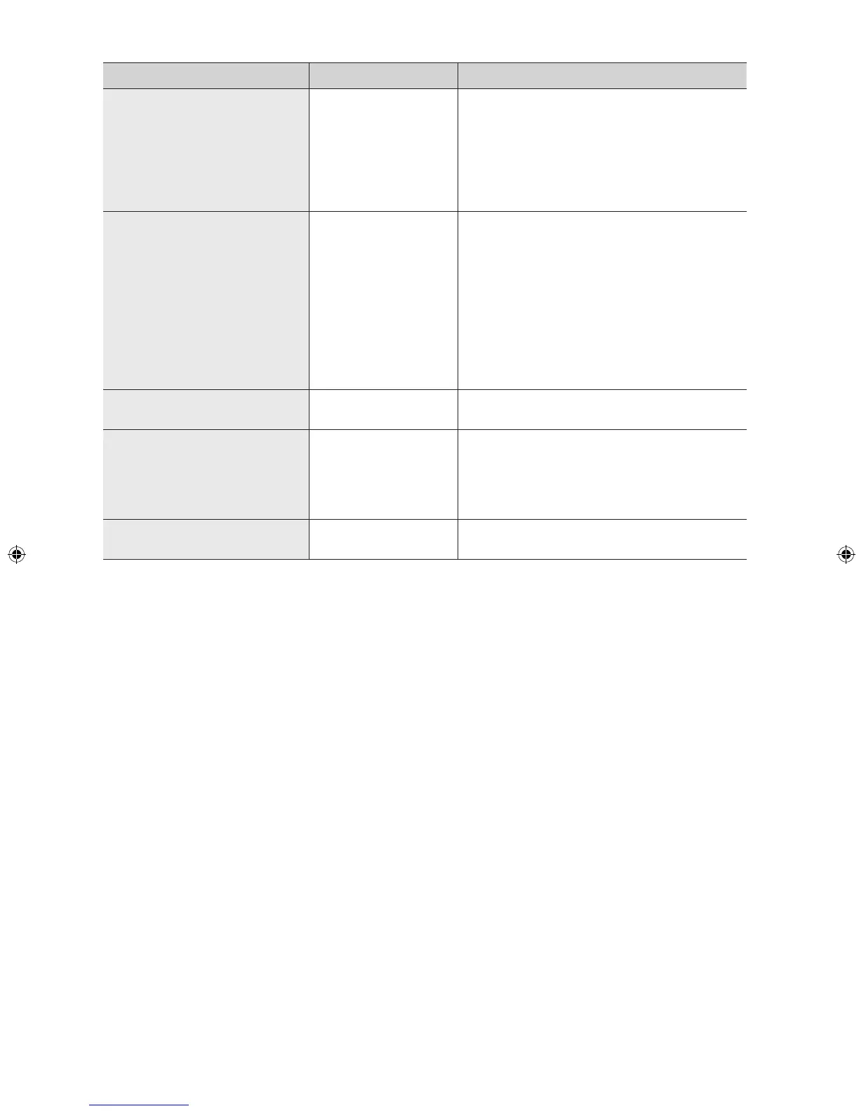
32_ cookware guide
COOKWARE MICROWAVE-SAFE COMMENTS
Paper
Plates, cups, napkins and
kitchen paper
Recommended For short cooking times and warming. Also
to absorb excess moisture.
Recycled paper Recommended Do not use recycled paper towels, which
may contain metal and may catch fire or
cause arcing.
Plastic
Containers Recommended Can be used if heat-resistant thermoplastic.
Some plastics may warp or discolor at high
temperatures. Do not use Melamine plastic.
Cling film Recommended Can be used to retain moisture. Avoid
wrapping the food too tight. Take care when
removing the film as hot steam will escape.
Freezer bags Use Caution Only if boilable or oven-proof. Should not be
airtight. Pierce with a fork, if necessary.
Wax or grease-proof paper Recommended Can be used to retain moisture and prevent
spattering.
Thermometer Recommended Use only those marked “Microwave-
safe” and follow the directions. Check the
temperature in several places. Conventional
thermometers can be used once the food
has been removed from the oven.
Straw, wicker, and wood Use Caution Use only for short-term heating, as these
materials can be flammable.
SMH9207_XAC-03686B_EN-01.indd 32 2010-02-20  3:55:39

Other manuals for GE 16

Related product manuals