EasyManua.ls Logo

GE GSD900 - Page 13

GE GSD900
16 pages
Print Icon
To Next Page IconTo Next Page
To Next Page IconTo Next Page
To Previous Page IconTo Previous Page
To Previous Page IconTo Previous Page
Loading...
.
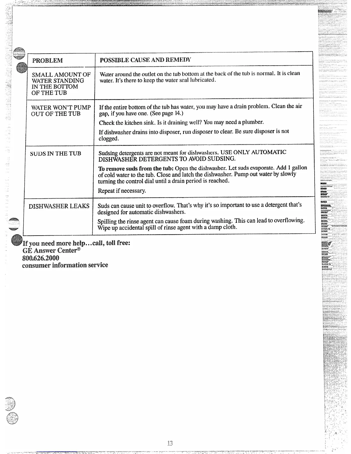
SMALLAMOUNT OF
WATERSTANDING
INTHEBmmM
OFTHETUB
W4.TERWON’T’PUMP
OUTOFTHE
TUB
SUDSm
THETUB
LEAKS
——
———.—
POSSIBLECAUSEAND
-—”—
..—————-” ————.————-—
Vbterw-mm!theoutlet on thetubbottomN thebackofthe?ubisnormal.Risclean
water,N’sthemtokeepthewatersmiluhricakxl.
——.—.... ——— ..——-=w””-————
Htheenth%bottomofthetubhaswater,ycmmayhaveadrainproblem.Cleantheair
gap,ifyouhavecm. (Seepage14,)
Checkthe
kitchen sink, Isitdrainingwell?Mmmaynetxiaplumber’.
Ifdishwadwx drains into disposer, run difq30serto dear, Be sum disposer is not
Cloggwi.
—.
.——-——.. -——
Sudsingdetergentsamnotmeantfordishwdmrs. UN?CINLY’
DISHWASHERDWIT!RGENTS‘IDAVOIDSUDSINClt
TOremovesmdsfrom the tub: Openthedishwasher.Letsudsevaporate.Add1gallon
ofcoldwatertothetub.Closeandlatchthedishwasher.PumpoutwaterbyS1OW1Y
turningthecontroldialuntiladrainperiodisreached.
Repeatifnecessary.
———
Sudscancauseunittooverflow.That’swhyit’sso importanttouscadetergentthat’s
designedforautomaticdishwashers.
SpiMngtherinseagentcancausefoamduringwashing,Thiscanleadtooverflowing.
Wipeupaccidentalspillofrinsc agentwithadampcloth.
M’
yowlIReedmore I-Ape.Am, tonfree:
GE Center’@
swvice
.,,
—..
0

Related product manuals