EasyManua.ls Logo

GE TBX25

GE TBX25
16 pages
To Next Page IconTo Next Page
To Next Page IconTo Next Page
To Previous Page IconTo Previous Page
To Previous Page IconTo Previous Page
Loading...
,—---
sLfYvvICECI.Mq3
FRSEZING
!,
4QISTURE
XM..LRCTSn4sI.DE
m
.
,,
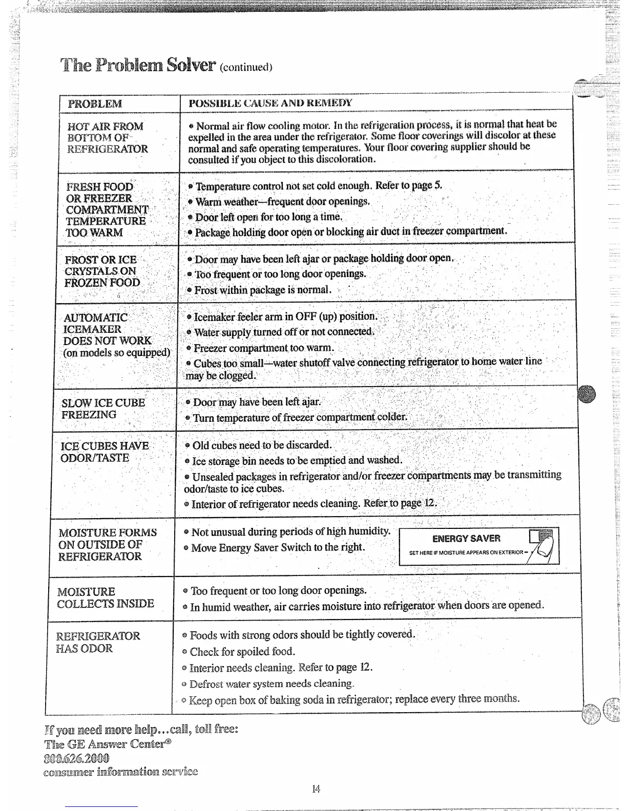
e ~o~~~~s~a~~ufi~gpg3~iQ&jofhighhumidi~a
ENERGY~AvEB
@MoveWNWgysaverswitchto&i ?@@. ~
SET HERE IFMOISTURE APPEARS ON EXTERIOR-

Other manuals for GE TBX25

Related product manuals