EasyManua.ls Logo

GE TFX24V - Icemaker and Dispenser Troubleshooting; Moisture and Warmth Issues

GE TFX24V
20 pages
Print Icon
To Next Page IconTo Next Page
To Next Page IconTo Next Page
To Previous Page IconTo Previous Page
To Previous Page IconTo Previous Page
Loading...
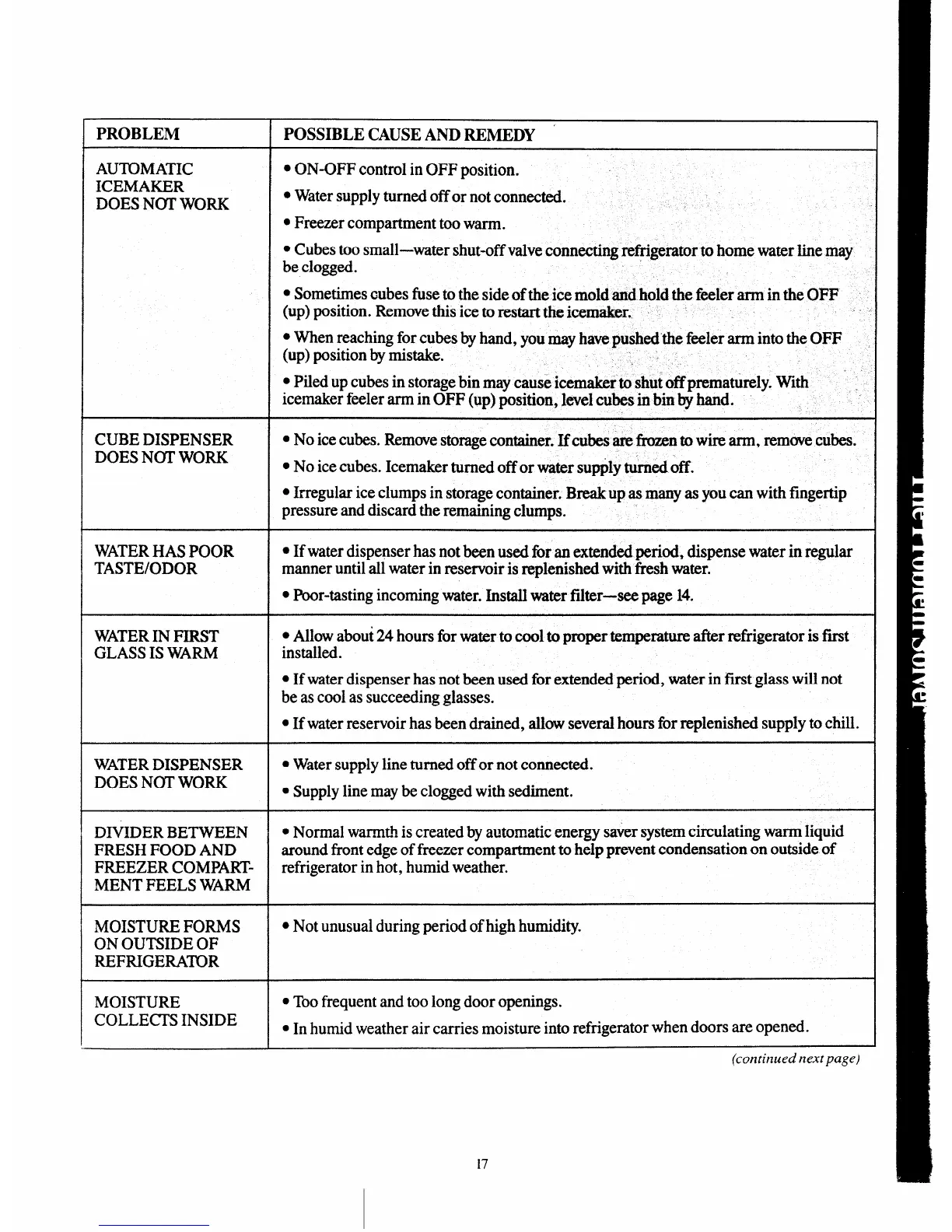
PROBLEM
POSSIBLE CAUSEAND REMEDY
AUTOMATIC
ON-OFF controlin OFF position.
ICEMAKER
DOES N(YI’WORK
Water supply turned off or not connected.
. Freezer compartment too warm.
Cubes too small—water shut-off valveconnecting refrigerator to home waterline may
be clogged.
@Sometimescubes fuse to the side ofthe ice mold and hold the f~ler arm in the OFF
(up) position. Remove this ice to restart the ictmw.ker,
When reaching for cubes by hand, you may havepushed the feeler arm into the OFF
(up) position by mistake.
Piled up cubes in storage bin may cause icernaker to shut offprematurely. With .
icemaker fwler arm in OFF (up) position, level cubes in bin by hand.
CUBE DISPENSER
No ice cubes. Remove storagecontainer. If C@eS are frozen to wire arm, remove cubes.
DOES N~ WORK
No ice cubes. Icemaker turned off or water su~ly turned off.
Irregular ice clumps in storage container. Breakup as many as you can with fingertip
pressure and discard the remaining clumps.
WATERHAS POOR
If water dis~nser h~ not ~n wed for ~ ex~ndti period, dispense water in re@~
TASTE/ODOR
manner until all water in reservoir is replenished with fkeshwater.
Poor-tasting incoming water. InstaIl water falter-seepage 14.
WATERIN FIRST
Allow about 24 hours for ~~r to cool ~ pro~r temperature dkx refrigerator k first
GLASS IS WARM
installed.
If water dispenser has not been used for extended period, water in first glass will not
be as cool as succeeding glasses.
If water reservoir hm ~en dm~~, wow seve~ hours for replenished SUpply ~0 chill.
WATERDISPENSER
Watersupply line turned offor not connected.
DOES N(YI’WORK
Supply line maybe clogged with sediment.
DtiIDER BETWEEN
Normal warmt!!is created by automatic energy saver system circulating warm liquid
FRESH FOOD AND
around front edge of fkeezercompartment to help prevent condensation on outside of
FREEZER COMPART-
refrigerator in hot, humid weather.
MENT FEELS WARM
MOISTURE FORMS
Not unusual during period ofhigh humidity.
ON OUTSIDE OF
REFRIGERATOR
MOISTURE
Too frequent and too long door openings.
COLLECT’SINSIDE
In humid weather air carries moisture into refrigerator when doors are opened.
(continued nextpage)
17