EasyManua.ls Logo

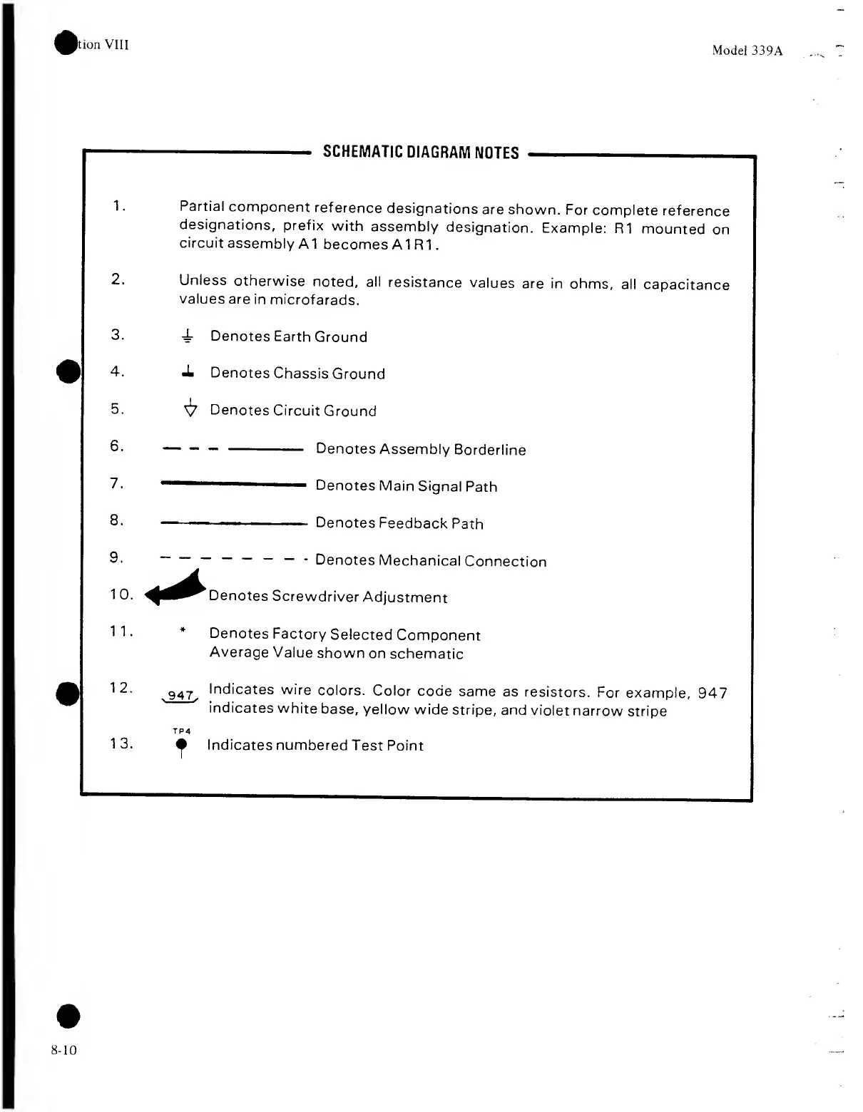
HP 339A - Schematic Diagram Notes

HP 339A
125 pages
Print Icon
To Next Page IconTo Next Page
To Next Page IconTo Next Page
To Previous Page IconTo Previous Page
To Previous Page IconTo Previous Page
Loading...

Related product manuals