EasyManua.ls Logo

HP Scitex FB550 - Stored jobs

HP Scitex FB550
125 pages
Print Icon
To Next Page IconTo Next Page
To Next Page IconTo Next Page
To Previous Page IconTo Previous Page
To Previous Page IconTo Previous Page
Loading...
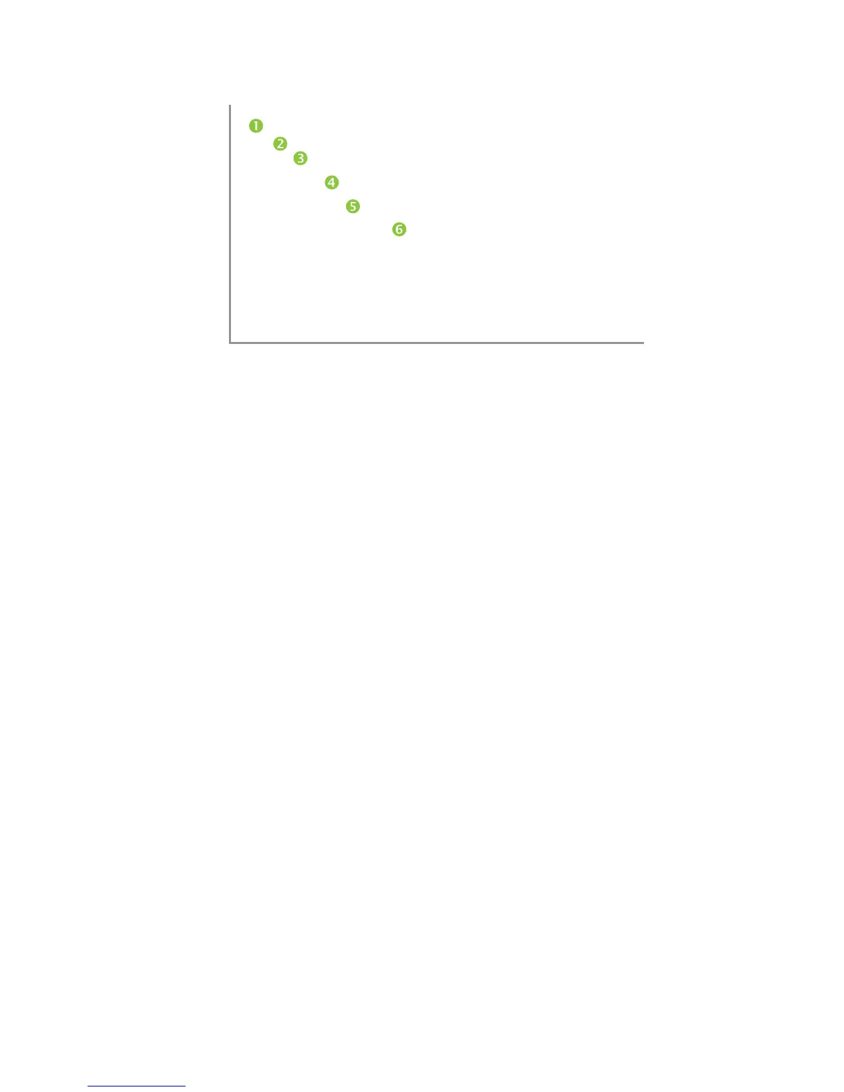
Figure 4-2 Quality and speed of each print mode (FB750)
m²/h (ft²/h)
Q
Stored jobs
When you send a print job to the printer, you can save the job automatically on the printer’s hard disk drive,
on a rotating first-in-first-out (FIFO) basis. You can “lock” a job to prevent it from being rotated out, but this
reduces the amount of space available for subsequent jobs to be saved. You can also save a stored job
without printing it until you print it from the control panel, or only print the job without saving it.
The printer can store up to 96 sheet-fed or roll-fed jobs. These jobs are retained on the printer's disk, even
when the printer power is cycled on and off. When the number of stored jobs reaches the printer's storage
capacity, subsequent print jobs will be printed but not stored.
If a job is too large to be saved, it is simply discarded from memory after printing. If a complete print job has
been received from the RIP and you cancel the print, it will still appear in the Stored Jobs listing.
Stored jobs can be viewed and managed from the control panel.
Thumbnail screen
To print or manage stored jobs, press Jobs on the Home or Printing page. On this page, you can view
thumbnail images of the various jobs. Locked jobs (protected from automatic deletion) are identified by a
padlock icon on the thumbnail image.
From the Stored Job thumbnails screen, you can perform these operations on the print job:
Press Set Filter to set a filter.
Press Multiple Select to select multiple jobs for a subsequent operation.
Press Information for the following kinds of information.
Press Max Sizes to view the total image area that can be stored at each combination of resolution
and color set.
Press History to view a log of stored jobs activity.
Press Settings to specify how jobs are stored and printed. These settings are saved even when the
printer is restarted.
28
Chapter 4 Printing jobs ENWW

Other manuals for HP Scitex FB550

Related product manuals