EasyManua.ls Logo

Interacoustics Affinity2.0 - Page 43

Interacoustics Affinity2.0
96 pages
Print Icon
To Next Page IconTo Next Page
To Next Page IconTo Next Page
To Previous Page IconTo Previous Page
To Previous Page IconTo Previous Page
Loading...
Item No. 8105087 12/2013 Page 5 of 6
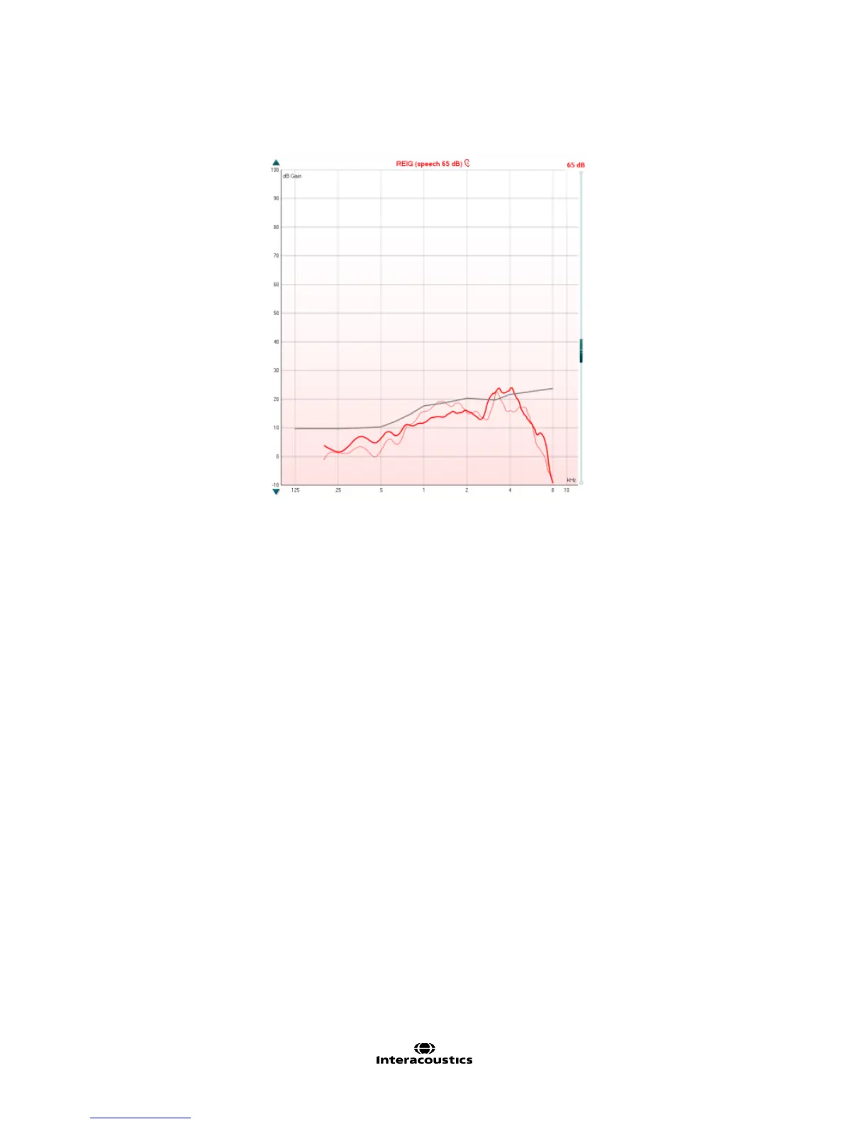
5. Real Ear Insertion Gain (REIG) this is a measure which is performed in the exact same configuration
as the REAR and REAG above but requires the REUG to be performed in advance of it. It does this
because it only displays the dB gain view of what the hearing aid is doing and removing the REUR
acoustics from this display. Please see the example of this below.
Again, it is common to make adjustments in your Hearing Device Manufacturers software to alter the
response towards the prescription target following this measure.
It is essential to perform REAR, REAG and REIG at normal speech level (65dB) and some prefer to
measure and adjust for soft (50dB) and loud (80dB) intensities also.
What Stimulus should I use for REM?
The recommended stimulus for performing REM is the International Speech Test Signal (ISTS). This is a signal
composed of several different languages which have been rendered from separate passages of speech reading
the same story, ‘The North Wind and the Sun’. This material should be unintelligible for your patient but it
ensures that your hearing aid is being assessed with realistic speech characteristics.
The ISTS signal is recommended as it meets the International Speech Standards which enable it to be
compared to prescription targets such as NAL-NL2 and DSL v.5.0.
As ISTS is a speech signal it must be run for at least 12 seconds to allow an efficient comparison to a
prescription target.

Other manuals for Interacoustics Affinity2.0

Related product manuals