EasyManua.ls Logo

Kodak 5219 - Curves; Sensitometric Curves; Image Structure; Modulation Transfer Function

Kodak 5219
6 pages
Print Icon
To Next Page IconTo Next Page
To Next Page IconTo Next Page
To Previous Page IconTo Previous Page
To Previous Page IconTo Previous Page
Loading...
KODAK VISION3 500T Color Negative Film 5219 / 7219 / SO-219 H-1-5219t 3
supplied by Eastman Kodak Company. The TAF consists of
a neutral density scale and an eight-bar color test pattern
with a LAD gray surround.
The TAF gray scale provides the telecine operator
(colorist) with an effective way to adjust subcarrier
balance and to center the telecine controls before timing
and transferring a film. The TAF color bars provide the
utility of electronic color bars, even though they do not
precisely match the electronically generated color bars.
Using the TAF will help obtain optimum quality and
consistency in the film-to-tape transfer. For more
information regarding TAF, see KODAK Publication No.
H-9, TAF User's Guide.
IMAGE STRUCTURE
The modulation-transfer and diffuse rms granularity
curves were generated from samples of 5219 Film exposed
with tungsten light and processed as recommended in
Process ECN-2 chemicals. For more information on
image-structure characteristics, see KODAK Publication
No. H-1, KODAK Motion Picture Film available online at
http://www.kodak.com/US/en/motion/support/h1.
Modulation Transfer Function
The "perceived" sharpness of any film depends on various
components of the motion picture production system. The
camera and projector lenses and film printers, among other
factors, all play a role. But the specific sharpness of a film
can be measured and is charted in the Modulation Transfer
Function Curve.
rms Granularity:
Refer to curve.
Read with a microdensitometer, (red, green, blue) using
a 48-micrometer aperture.
The "perception" of the graininess of any film is highly
dependent on scene content, complexity, color, and
density. Other factors, such as film age, processing,
exposure conditions, and telecine transfer may also have
significant effects.
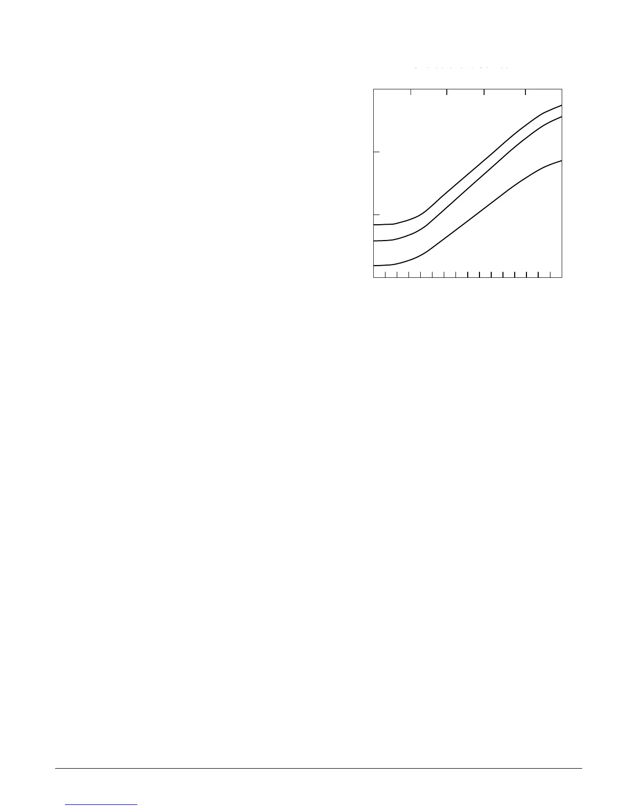
CURVES
Sensitometric Curves
The curves describe this film's response to red, green,
and blue light. Sensitometric curves determine the change
in density on the film for a given change in log exposure.
4
Note: The exposure scale for VISION3 5219 / 7219 Film is
longer than previous VISION and VISON2 Films. Because
of the extended highlight latitude of and because we need
to measure in this region, we expanded the exposure scale
from a zero to four increment to a zero to five scale. In
addition to the longer exposure scale, we are plotting
twenty-one steps instead of twenty.
NOTICE: The sensitometric curves and data in this
publication represent product tested under the conditions
of exposure and processing specified. They are
representative of production coatings, and therefore do
not apply directly to a particular box or roll of photographic
material. They do not represent standards or specifications
that must be met by Eastman Kodak Company. The
company reserves the right to change and improve
Exposure: 3200K Tungsten 1/50 sec
Process: ECN-2
Densitometry: ECN-2
0.0
1.0
2.0
3.0
-8 -7 -6 -5 -4
-4.0 -3.0 -2.0 -1.0 0.0 1.0
-3 -2 -1 0 1 2 3 4 5 6 7 8
Camera Stops
Density
B
G
R
Characteristic
Curves
LOG EXPOSURE (lux-seconds)
TI2647F

Related product manuals