EasyManua.ls Logo

LG LP070CED - Page 24

LG LP070CED
27 pages
Print Icon
To Next Page IconTo Next Page
To Next Page IconTo Next Page
To Previous Page IconTo Previous Page
To Previous Page IconTo Previous Page
Loading...
24 Room Air Conditioner
Maintenance and Service
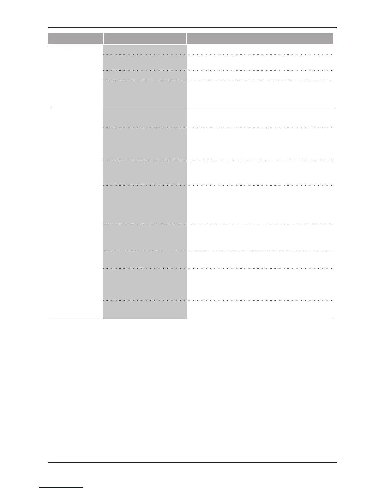
COMPLAINT CAUSE REMEDY
Grommets
Fan
Loose set screw
Worn bearings
Voltage
Wiring
Rotary
Thermostat
Capacitor (Discharge
capacitor before servicing)
Compressor
Overload
Pressure Switch
Check grommets; if worn or missing, replace them.
If cracked, out of balance, or partially missing,
replace it.
Tighten it.
If knocking sounds continue when running or loose,
replace the motor. If the motor hums or noise appears
to be internal while running, replace motor.
Check voltage. See the voltage limits. If not within
limits, call an electrician.
Check the wire connections, if loose, repair or
replace the terminal. If wires are off, refer to wiring
diagram for identification, and replace. Check wire
locations. If not per wiring diagram, correct.
Check for continuity, refer to the wiring diagram for
terminal identification. Replace the switch if circuit is
open.
Check the position of knob If not at the coldest
setting, advance the knob to this setting and restart
unit.
Check continuity of the thermostat. Replace
thermostat if circuit is open.
Check the capacitor.
Replace if not within ±10% of manufacturer's rating.
Replace if shorted, open, or damaged.
Check the compressor for open circuit or ground. If
open or grounded, replace the compressor.
Check the compressor overload, if externally
mounted. Replace if open. (If the compressor
temperature is high, remove the overload, cool it,
and retest.)
Check continuity of the pressure switch. Replace the
pressure switch if circuit is open.
Fan motor noise.
Compressor will
not run, but fan
motor runs.

Related product manuals