EasyManua.ls Logo

LG RT-29FB50RB - Page 28

LG RT-29FB50RB
33 pages
Print Icon
To Next Page IconTo Next Page
To Next Page IconTo Next Page
To Previous Page IconTo Previous Page
To Previous Page IconTo Previous Page
Loading...
- 28 -
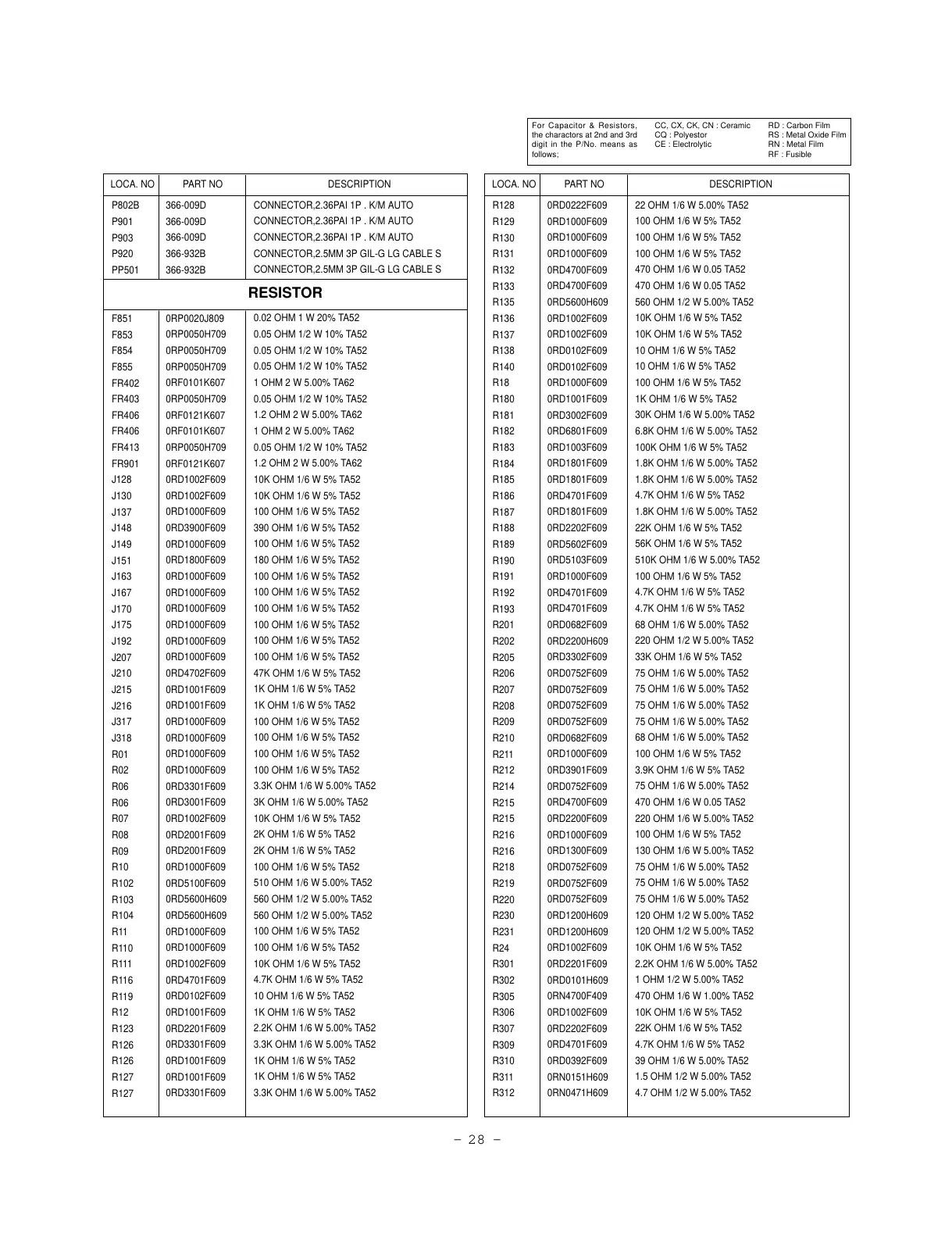
LOCA. NO PART NO DESCRIPTION
P802B
P901
P903
P920
PP501
F851
F853
F854
F855
FR402
FR403
FR406
FR406
FR413
FR901
J128
J130
J137
J148
J149
J151
J163
J167
J170
J175
J192
J207
J210
J215
J216
J317
J318
R01
R02
R06
R06
R07
R08
R09
R10
R102
R103
R104
R11
R110
R111
R116
R119
R12
R123
R126
R126
R127
R127
366-009D
366-009D
366-009D
366-932B
366-932B
0RP0020J809
0RP0050H709
0RP0050H709
0RP0050H709
0RF0101K607
0RP0050H709
0RF0121K607
0RF0101K607
0RP0050H709
0RF0121K607
0RD1002F609
0RD1002F609
0RD1000F609
0RD3900F609
0RD1000F609
0RD1800F609
0RD1000F609
0RD1000F609
0RD1000F609
0RD1000F609
0RD1000F609
0RD1000F609
0RD4702F609
0RD1001F609
0RD1001F609
0RD1000F609
0RD1000F609
0RD1000F609
0RD1000F609
0RD3301F609
0RD3001F609
0RD1002F609
0RD2001F609
0RD2001F609
0RD1000F609
0RD5100F609
0RD5600H609
0RD5600H609
0RD1000F609
0RD1000F609
0RD1002F609
0RD4701F609
0RD0102F609
0RD1001F609
0RD2201F609
0RD3301F609
0RD1001F609
0RD1001F609
0RD3301F609
CONNECTOR,2.36PAI 1P . K/M AUTO
CONNECTOR,2.36PAI 1P . K/M AUTO
CONNECTOR,2.36PAI 1P . K/M AUTO
CONNECTOR,2.5MM 3P GIL-G LG CABLE S
CONNECTOR,2.5MM 3P GIL-G LG CABLE S
0.02 OHM 1 W 20% TA52
0.05 OHM 1/2 W 10% TA52
0.05 OHM 1/2 W 10% TA52
0.05 OHM 1/2 W 10% TA52
1 OHM 2 W 5.00% TA62
0.05 OHM 1/2 W 10% TA52
1.2 OHM 2 W 5.00% TA62
1 OHM 2 W 5.00% TA62
0.05 OHM 1/2 W 10% TA52
1.2 OHM 2 W 5.00% TA62
10K OHM 1/6 W 5% TA52
10K OHM 1/6 W 5% TA52
100 OHM 1/6 W 5% TA52
390 OHM 1/6 W 5% TA52
100 OHM 1/6 W 5% TA52
180 OHM 1/6 W 5% TA52
100 OHM 1/6 W 5% TA52
100 OHM 1/6 W 5% TA52
100 OHM 1/6 W 5% TA52
100 OHM 1/6 W 5% TA52
100 OHM 1/6 W 5% TA52
100 OHM 1/6 W 5% TA52
47K OHM 1/6 W 5% TA52
1K OHM 1/6 W 5% TA52
1K OHM 1/6 W 5% TA52
100 OHM 1/6 W 5% TA52
100 OHM 1/6 W 5% TA52
100 OHM 1/6 W 5% TA52
100 OHM 1/6 W 5% TA52
3.3K OHM 1/6 W 5.00% TA52
3K OHM 1/6 W 5.00% TA52
10K OHM 1/6 W 5% TA52
2K OHM 1/6 W 5% TA52
2K OHM 1/6 W 5% TA52
100 OHM 1/6 W 5% TA52
510 OHM 1/6 W 5.00% TA52
560 OHM 1/2 W 5.00% TA52
560 OHM 1/2 W 5.00% TA52
100 OHM 1/6 W 5% TA52
100 OHM 1/6 W 5% TA52
10K OHM 1/6 W 5% TA52
4.7K OHM 1/6 W 5% TA52
10 OHM 1/6 W 5% TA52
1K OHM 1/6 W 5% TA52
2.2K OHM 1/6 W 5.00% TA52
3.3K OHM 1/6 W 5.00% TA52
1K OHM 1/6 W 5% TA52
1K OHM 1/6 W 5% TA52
3.3K OHM 1/6 W 5.00% TA52
LOCA. NO PART NO DESCRIPTION
R128
R129
R130
R131
R132
R133
R135
R136
R137
R138
R140
R18
R180
R181
R182
R183
R184
R185
R186
R187
R188
R189
R190
R191
R192
R193
R201
R202
R205
R206
R207
R208
R209
R210
R211
R212
R214
R215
R215
R216
R216
R218
R219
R220
R230
R231
R24
R301
R302
R305
R306
R307
R309
R310
R311
R312
0RD0222F609
0RD1000F609
0RD1000F609
0RD1000F609
0RD4700F609
0RD4700F609
0RD5600H609
0RD1002F609
0RD1002F609
0RD0102F609
0RD0102F609
0RD1000F609
0RD1001F609
0RD3002F609
0RD6801F609
0RD1003F609
0RD1801F609
0RD1801F609
0RD4701F609
0RD1801F609
0RD2202F609
0RD5602F609
0RD5103F609
0RD1000F609
0RD4701F609
0RD4701F609
0RD0682F609
0RD2200H609
0RD3302F609
0RD0752F609
0RD0752F609
0RD0752F609
0RD0752F609
0RD0682F609
0RD1000F609
0RD3901F609
0RD0752F609
0RD4700F609
0RD2200F609
0RD1000F609
0RD1300F609
0RD0752F609
0RD0752F609
0RD0752F609
0RD1200H609
0RD1200H609
0RD1002F609
0RD2201F609
0RD0101H609
0RN4700F409
0RD1002F609
0RD2202F609
0RD4701F609
0RD0392F609
0RN0151H609
0RN0471H609
22 OHM 1/6 W 5.00% TA52
100 OHM 1/6 W 5% TA52
100 OHM 1/6 W 5% TA52
100 OHM 1/6 W 5% TA52
470 OHM 1/6 W 0.05 TA52
470 OHM 1/6 W 0.05 TA52
560 OHM 1/2 W 5.00% TA52
10K OHM 1/6 W 5% TA52
10K OHM 1/6 W 5% TA52
10 OHM 1/6 W 5% TA52
10 OHM 1/6 W 5% TA52
100 OHM 1/6 W 5% TA52
1K OHM 1/6 W 5% TA52
30K OHM 1/6 W 5.00% TA52
6.8K OHM 1/6 W 5.00% TA52
100K OHM 1/6 W 5% TA52
1.8K OHM 1/6 W 5.00% TA52
1.8K OHM 1/6 W 5.00% TA52
4.7K OHM 1/6 W 5% TA52
1.8K OHM 1/6 W 5.00% TA52
22K OHM 1/6 W 5% TA52
56K OHM 1/6 W 5% TA52
510K OHM 1/6 W 5.00% TA52
100 OHM 1/6 W 5% TA52
4.7K OHM 1/6 W 5% TA52
4.7K OHM 1/6 W 5% TA52
68 OHM 1/6 W 5.00% TA52
220 OHM 1/2 W 5.00% TA52
33K OHM 1/6 W 5% TA52
75 OHM 1/6 W 5.00% TA52
75 OHM 1/6 W 5.00% TA52
75 OHM 1/6 W 5.00% TA52
75 OHM 1/6 W 5.00% TA52
68 OHM 1/6 W 5.00% TA52
100 OHM 1/6 W 5% TA52
3.9K OHM 1/6 W 5% TA52
75 OHM 1/6 W 5.00% TA52
470 OHM 1/6 W 0.05 TA52
220 OHM 1/6 W 5.00% TA52
100 OHM 1/6 W 5% TA52
130 OHM 1/6 W 5.00% TA52
75 OHM 1/6 W 5.00% TA52
75 OHM 1/6 W 5.00% TA52
75 OHM 1/6 W 5.00% TA52
120 OHM 1/2 W 5.00% TA52
120 OHM 1/2 W 5.00% TA52
10K OHM 1/6 W 5% TA52
2.2K OHM 1/6 W 5.00% TA52
1 OHM 1/2 W 5.00% TA52
470 OHM 1/6 W 1.00% TA52
10K OHM 1/6 W 5% TA52
22K OHM 1/6 W 5% TA52
4.7K OHM 1/6 W 5% TA52
39 OHM 1/6 W 5.00% TA52
1.5 OHM 1/2 W 5.00% TA52
4.7 OHM 1/2 W 5.00% TA52
For Capacitor & Resistors,
the charactors at 2nd and 3rd
digit in the P/No. means as
follows;
CC, CX, CK, CN : Ceramic
CQ : Polyestor
CE : Electrolytic
RD : Carbon Film
RS : Metal Oxide Film
RN : Metal Film
RF : Fusible
RESISTOR
All manuals and user guides at all-guides.com

Related product manuals