EasyManua.ls Logo

Mallory 29014 - Page 2

Default Icon
4 pages
Print Icon
To Next Page IconTo Next Page
To Next Page IconTo Next Page
To Previous Page IconTo Previous Page
To Previous Page IconTo Previous Page
Loading...
Bending the perch can be used to move the curve only about
200 or 300 RPM. If mor
e than 300 RPM change is required,
use different spring(s). Bending the perches changes the RPM
at which the advance starts but does not change the slope of
the curve.
If a two stage advance is being used, bend the perch of the
NON-purple spring to change the RPM at which the advance
starts.
CAUTION: IF THE SPRING PERCHES MUST BE BENT
,
BEND ONLY SLIGHTLY. FREQUENT BENDING OR EXCES-
SIVE BENDING MAY FATIGUE THE PERCHES AND CAUSE
THEM TO BREAK.
Remember, the total advance is the sum of the distributor
advance plus the initial advance. (Initial advance is the advance
set at idle by r
otating the distributor). Most engines perform
well with a total advance somewhere between 34 and 40
degrees. Thus, an engine with 10 degrees initial (set at idle)
plus 26 degrees in the distributor would have a total advance
of 36 degrees.
Advance Limit tab, YT Only
The advance tab (see Figur
e 4) limits the total amount of
advance that the distributor can produce. The advance tab does
not affect the shape of the advance curve, but rather limits the
advance to a given amount. Most Mallory distributors are set at
the factory to limit the advance to 24 degrees. Figure 4 shows
how the advance tab can be bent to incr
ease or decrease the
advance limit. (Do not attempt to increase the limit over 32
degrees or reduce it to less than 16 degrees).
CAUTION: BENDING THE ADVANCE TAB MORE THAN 3 OR
4 TIMES, OR BENDING IT EXCESSIVELY MAY CAUSE THE
TAB TO BREAK.
Advance Adjustment Plate, YH Only
YH advances (see Figure 5) have two adjustment screws in the
advance plate. To adjust the advance limit on these assemblies,
DO NOT BEND ADV
ANCE TAB. Rather, loosen the two screws
and rotate the advance plate to adjust limit. Re-tighten the
screws after adjustment. The amount of advance can be adjust-
ed from 0° to 28°.
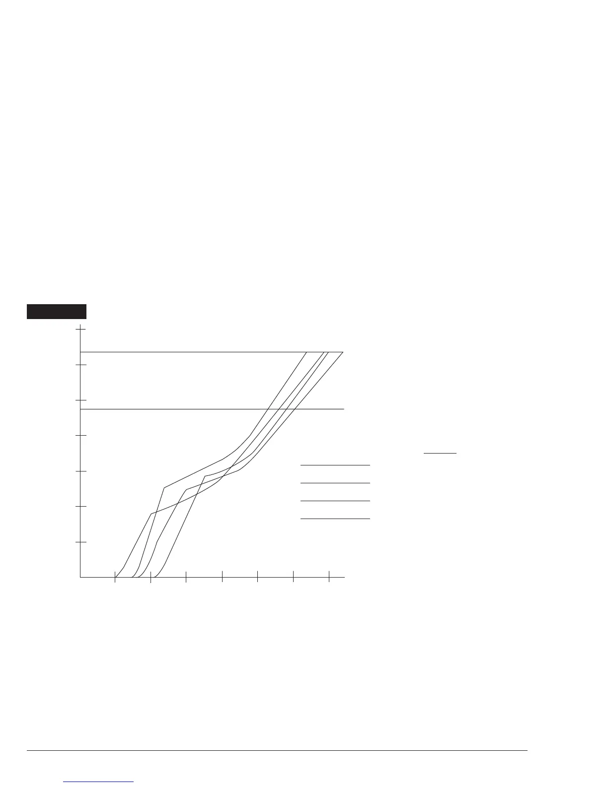
FIGURE 1
2 www.malloryracing.com MALLORY IGNITION
500 1000 1500 2000 2500 3000 3500
35
30
25
20
15
10
5
DEGREES ADANCE (CRANKSHAFT)
MAXIMUM LIMIT
FACTORY SET LIMIT
RPM (CRANK)
TWO STAGE ADVANCE CURVES
SPRINGS
Purple and Brown (factory standard V8)
Purple and Orange
Purple and Pink
Purple and Grey
NOTES: (Figures 1, 2 and 3)
1) Curves developed by changing springs only. Spring perches were not bent.
2) Purple and brown spring combination is factory standard for most Mallory V8 distributors.
3) Exact curve obtained from any combination of springs may vary slightly from those shown above.
4)
Most Mallory distrubutors for V8s have a factory set limit of 24
° advance.
5) Purple springs must not be used in pairs. The purple spring should have slack (unstretched) when installed.
6) Curves may be shifted to the right by bending the spring perches to increase spring tension, or to the left by bending for less tension.