EasyManua.ls Logo

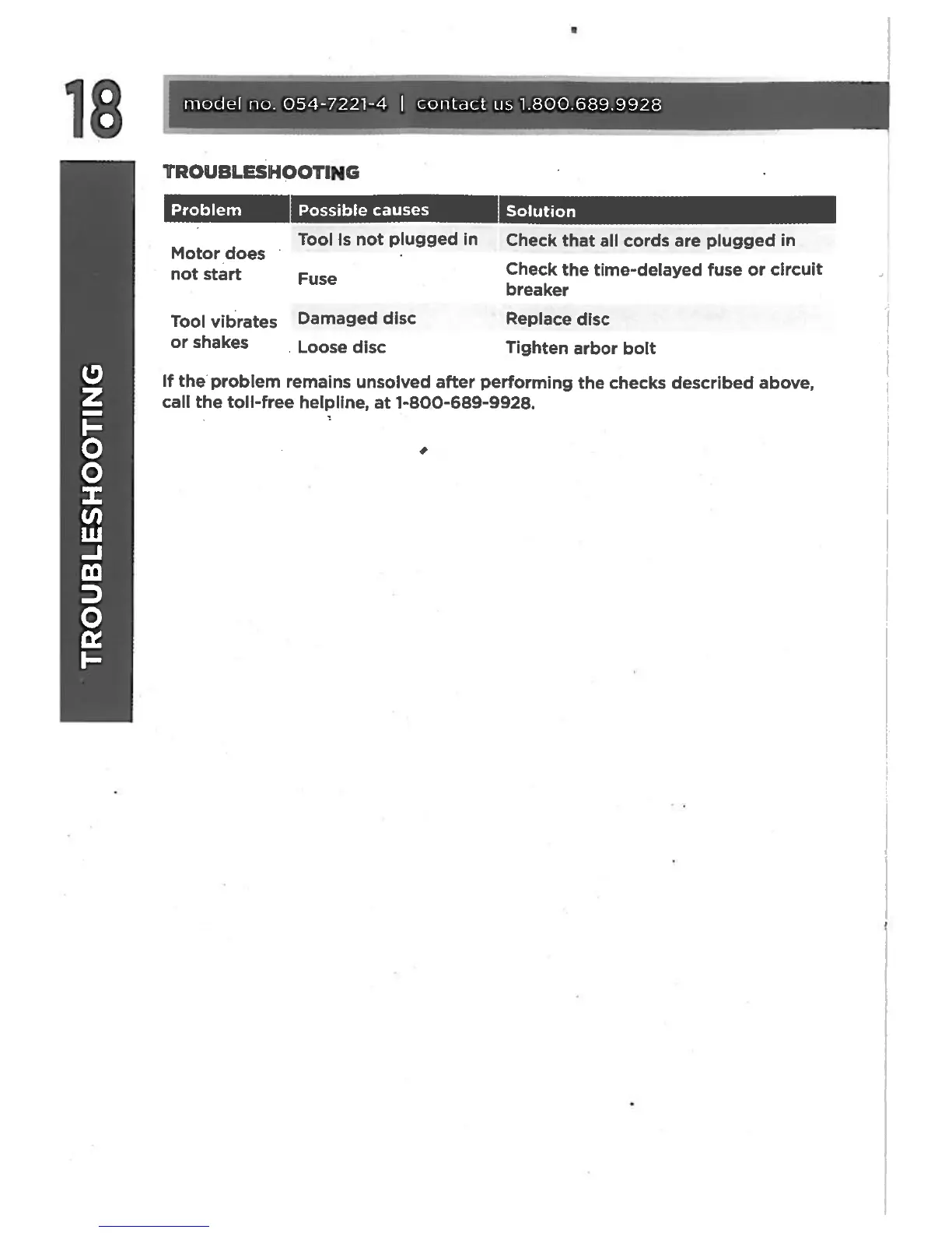
MasterCraft Maximum 054-7221-4 - Troubleshooting

MasterCraft Maximum 054-7221-4
22 pages
Print Icon
To Next Page IconTo Next Page
To Next Page IconTo Next Page
To Previous Page IconTo Previous Page
To Previous Page IconTo Previous Page
Loading...

Related product manuals