EasyManua.ls Logo

MDR MDR-2000 - Page 72

Default Icon
76 pages
Print Icon
To Next Page IconTo Next Page
To Next Page IconTo Next Page
To Previous Page IconTo Previous Page
To Previous Page IconTo Previous Page
Loading...
MDR-2000
V3
User's Reference Manual
Appendix A
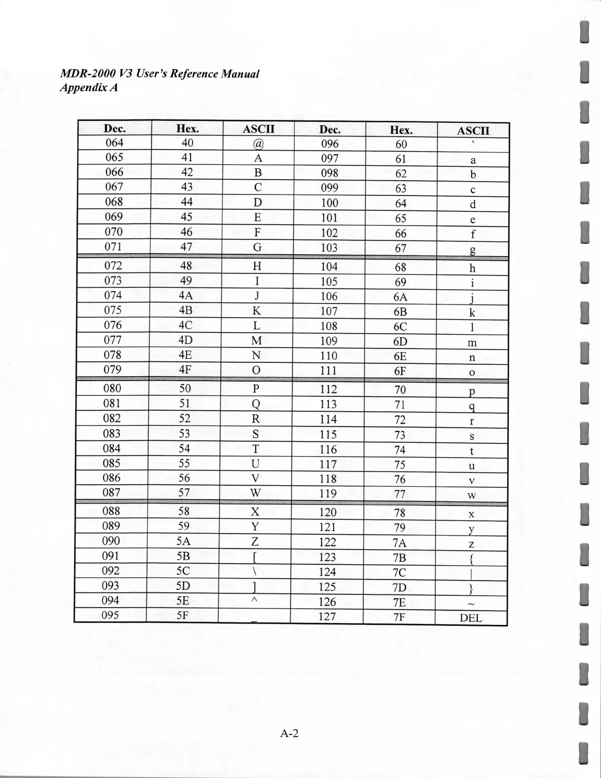
Dec.
Hex.
ASCII
064
40
(a),
06S
41
A
066
42
B
067
43
c
068
44
D
069
4S
E
070
46
F
071
47
G
072
48
H
073
49
I
074
4A
J
07S
4B
K
076
4C
L
077
4D
M
078
4E
N
079
4F
0
.
080
so
p
081
Sl
Q
082
S2
R
083
S3
s
084
S4
T
08S
SS
u
086
S6
v
087
S7
w
088
S8
x
089
S9
y
090
SA
z
091
SB
r
092
SC
\
093
SD
l
094
SE
/\
095
SF
A-2
Dec. Hex.
096
60
097
61
098
62
099
63
100
64
101
6S
102
66
103
67
104
68
lOS
69
106
6A
107
6B
108
6C
109
6D
110
6E
111
6F
112
70
113
71
114
72
llS
73
116
74
117
7S
118
76
119
77
..
120
78
121
79
122
7A
123
7B
124
7C
l2S
7D
126
7E
127
7F
ASCII
a
b
c
d
e
f
g
h
1
i
k
1
m
n
0
p
q
r
s
t
u
v
w
x
y
z
{
I
}
~
DEL
I
I
I