EasyManua.ls Logo

MK Powered 8A Series - Page 6

MK Powered 8A Series
8 pages
Print Icon
To Next Page IconTo Next Page
To Next Page IconTo Next Page
To Previous Page IconTo Previous Page
To Previous Page IconTo Previous Page
Loading...
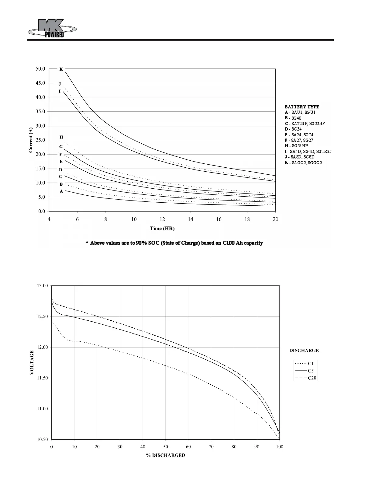
APPENDIX A
DISCHARGE VOLTAGE CURVE
CHARGING CURRENT VS. CHARGING TIME
*
6
®