EasyManua.ls Logo

Motorola Mototrbo - Troubleshooting Charts; 1.0 Bluetooth (PMLN7252_S) Troubleshooting Chart

Motorola Mototrbo
358 pages
To Next Page IconTo Next Page
To Next Page IconTo Next Page
To Previous Page IconTo Previous Page
To Previous Page IconTo Previous Page
Loading...
1-1
Section 1
TROUBLESHOOTING CHARTS
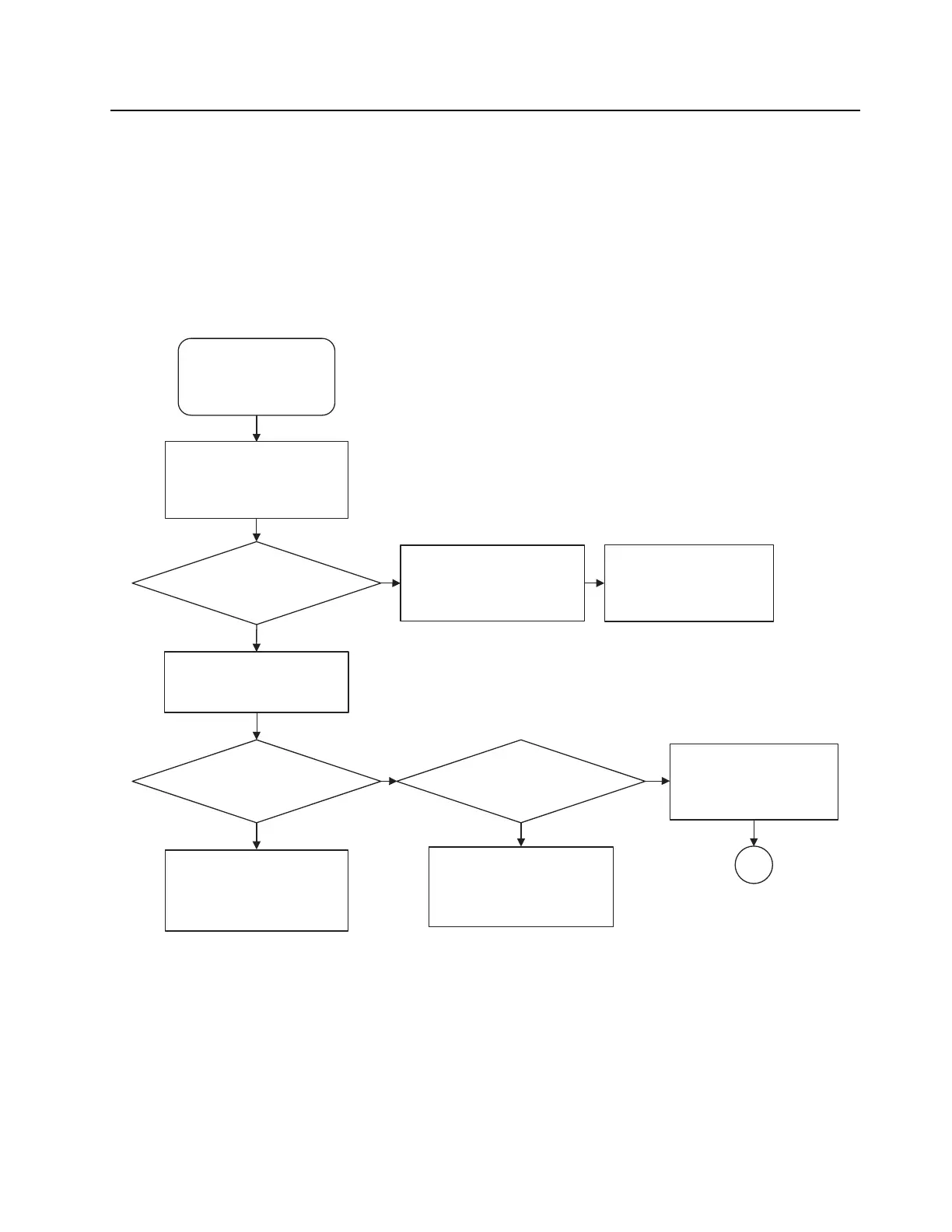
1.0 Bluetooth (PMLN7252_S) Troubleshooting Chart (Sheet 1 of 4)
Bluetooth cannot
be enabled in user
menu
Remove control head
and unscrew expansion
board, examine flex
connector
Are all
connections
made properly?
No
Yes
Check 1.8V and 3.6V DC
supplies
Ensure flex connector is
inserted into BOTTOM
28-pin connector, with
contacts facing down
Re-try enabling
Bluetooth
Is 1.8V present
on TP7113?
Yes
No
Refer to mobile radio
Controller/DC
troubleshooting for 1.8V
supply rail
Is 3.6V present
on TP7112?
No
Refer to mobile radio
Controller/DC
troubleshooting for 3.6V
supply rail
Yes
Use oscilloscope to
check 32kHz clock
output on pin 7 of
Y7101
A

Table of Contents

Other manuals for Motorola Mototrbo

Related product manuals