EasyManua.ls Logo

New Focus 1421 - Page 11

New Focus 1421
12 pages
Print Icon
To Next Page IconTo Next Page
To Next Page IconTo Next Page
To Previous Page IconTo Previous Page
To Previous Page IconTo Previous Page
Loading...
11
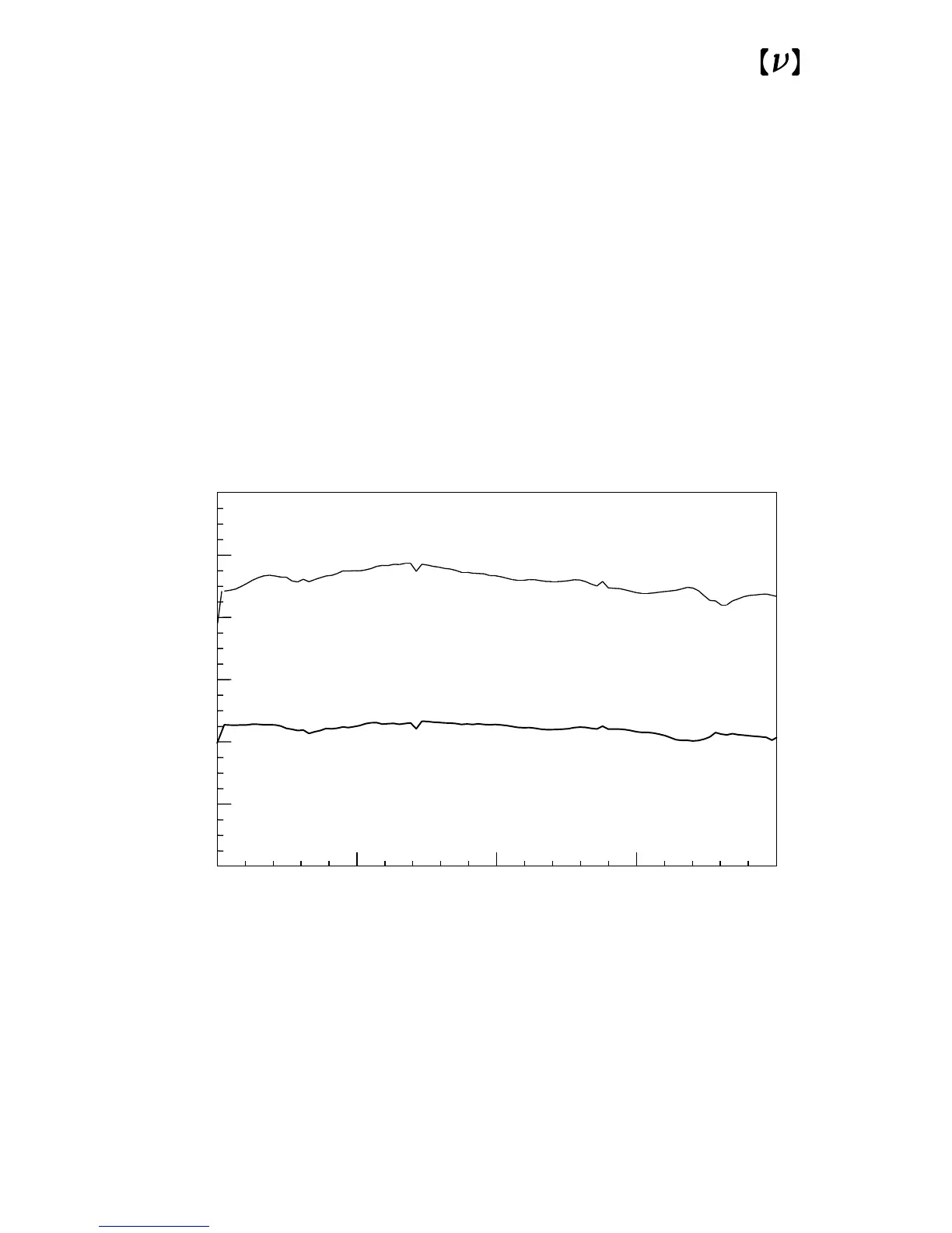
Fig. 3
Typical frequency response of the
Models 1421 and 1422 Amplifiers.
0 5 10 15 20
0
4
8
12
16
20
24
Frequency (GHz)
Gain (dB)
Model 1421
Model 1422