EasyManua.ls Logo

Palram Monaco - Page 58

Palram Monaco
94 pages
Print Icon
To Next Page IconTo Next Page
To Next Page IconTo Next Page
To Previous Page IconTo Previous Page
To Previous Page IconTo Previous Page
Loading...
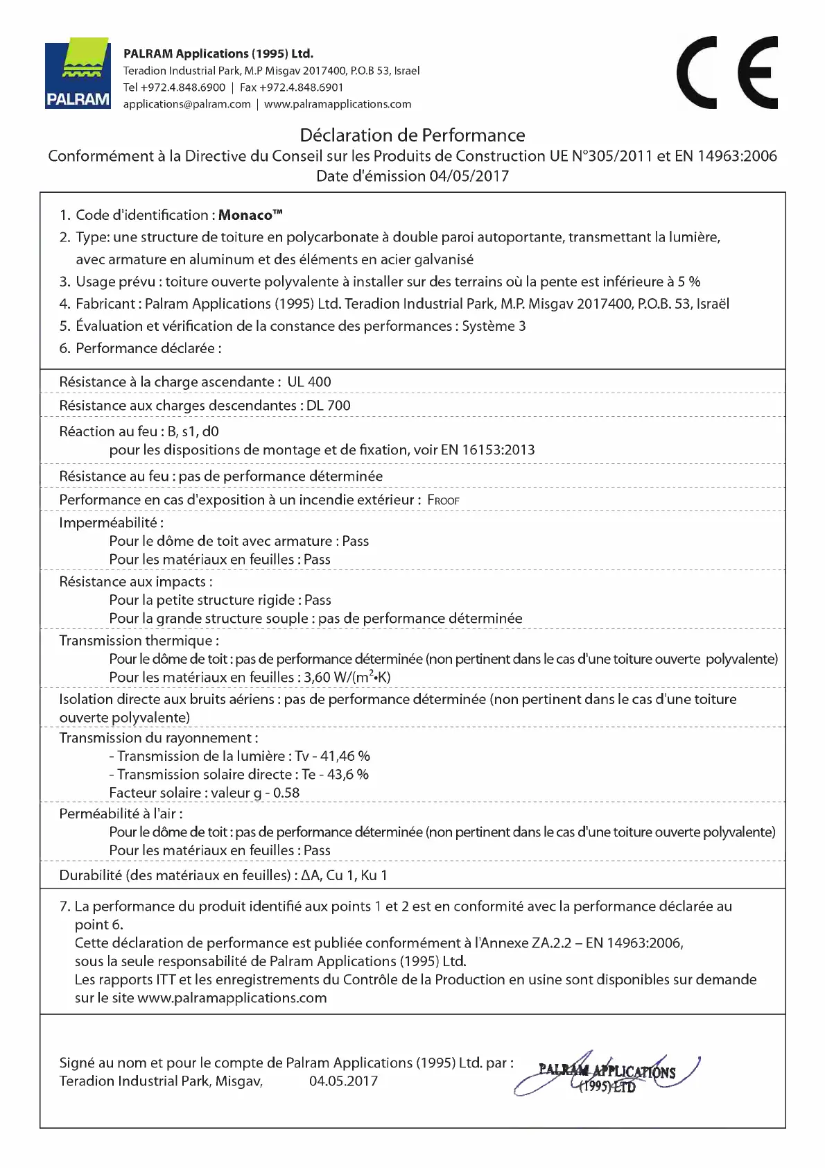
PALRAM Applications (1995) Ltd.
Teradion Industrial Park, M.P Misgav 2017400, P.O.B 53, Israel
Tel +972.4.848.6900 Fax +972.4.848.6901
applications@palram.com www.palramapplications.com
CE
Declaration de Performance
Conformernent a la Directive du Conseil sur les Produits de Construction UE N°305/2011 et EN 14963:2006
Date d'ernission 04/05/2017
1. Code d'identification : MonacoTM
2. Type: une structure de toiture en polycarbonate a double paroi autoportante, transmettant la lumiere,
avec armature en aluminum et des elements en acier galvanise
3. Usage prevu : toiture ouverte polyvalente a installer sur des terrains 00 la pente est inferieure a 5 %
4. Fabricant : Palram Applications (1995) Ltd. Teradion Industrial Park, M.P. Misgav 2017400, P.O.B. 53, Israel
5. Evaluation et verification de la constance des performances : Systeme 3
6. Performance declaree :
Resistance a la charge ascendante : UL 400
Resistance aux charges descendantes : DL 700
Reaction au feu : B, s1, dO
pour les dispositions de montage et de fixation, voir EN 16153:2013
Resistance au feu : pas de performance determinee
Performance en cas d'exposition a un incendie exterieur : FROOF
Impermeabilite :
Pour le dome de toit avec armature : Pass
Pour les materiaux en feuilles : Pass
Resistance aux impacts :
Pour la petite structure rigide : Pass
Pour la grande structure souple : pas de performance determinee
Transmission thermique :
Pour le dome de toit : pas de performance determinee (non pertinent dans le cas d'une toiture ouverte polyvalente)
Pour les materiaux en feuilles : 3,60 W/(m2K)
Isolation directe aux bruits aeriens : pas de performance determinee (non pertinent dans le cas d'une toiture
ouverte polyvalente)
Transmission du rayonnement :
- Transmission de la lumiere : Tv - 41,46 %
- Transmission solaire directe : Te - 43,6 %
Facteur solaire : valeur g - 0.58
Permeabilite a fair :
Pour le dome de toit : pas de performance determinee (non pertinent dans le cas d'une toiture ouverte polyvalente)
Pour les materiaux en feuilles : Pass
Durabilite (des materiaux en feuilles) : AA, Cu 1, Ku 1
7. La performance du produit identifie aux points 1 et 2 est en conformite avec la performance declaree au
point 6.
Cette declaration de performance est publiee conformement a l'Annexe ZA.2.2 - EN 14963:2006,
sous la seule responsabilite de Palram Applications (1995) Ltd.
Les rapports ITT et les enregistrements du Controle de la Production en usine sont disponibles sur demande
sur le site www.palramapplications.com
Signe au nom et pour le compte de Palram Applications (1995) Ltd. par :
Teradion Industrial Park, Misgav, 04.05.2017

Related product manuals