EasyManua.ls Logo

Panasonic AG-W2 - Page 4

Panasonic AG-W2
92 pages
Print Icon
To Next Page IconTo Next Page
To Next Page IconTo Next Page
To Previous Page IconTo Previous Page
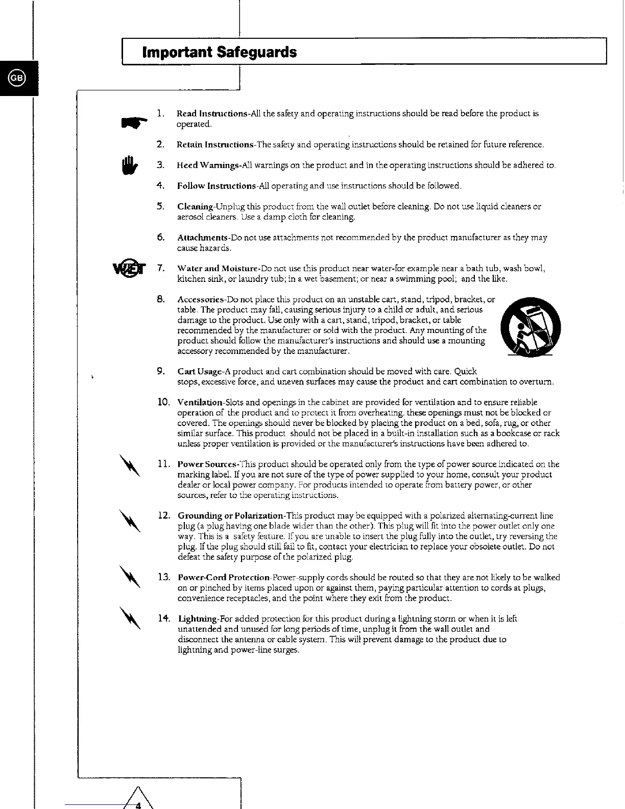
To Previous Page IconTo Previous Page
Loading...

Related product manuals