EasyManua.ls Logo

Payne TSTAT - Programmed Operation; Programming a Weekly Comfort Schedule; Overriding Your Comfort Schedule

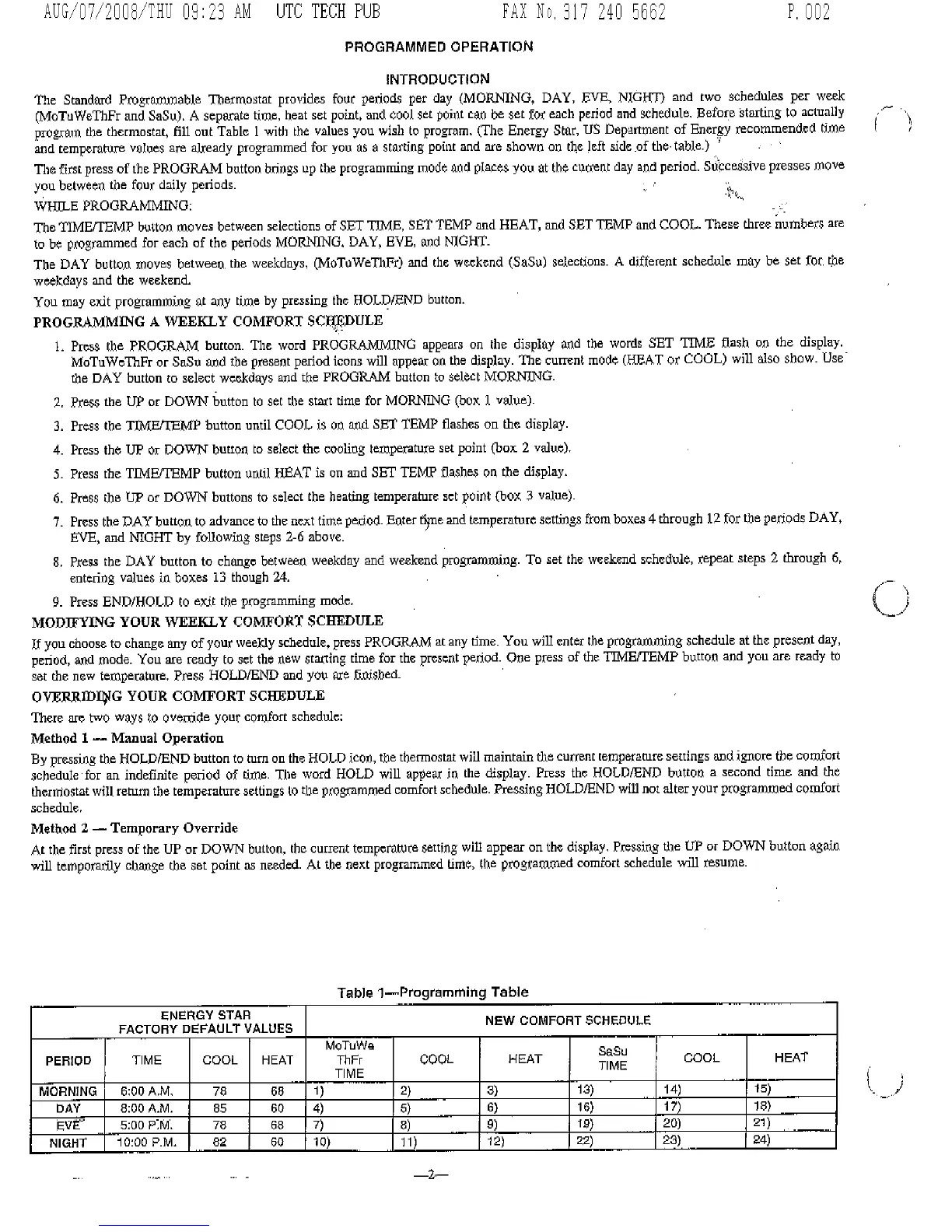
Payne TSTAT
8 pages
Print Icon
To Next Page IconTo Next Page
To Next Page IconTo Next Page
To Previous Page IconTo Previous Page
To Previous Page IconTo Previous Page
Loading...

Other manuals for Payne TSTAT