EasyManua.ls Logo

Pfaff EXPRESSION 2024 - Page 71

Pfaff EXPRESSION 2024
105 pages
Print Icon
To Next Page IconTo Next Page
To Next Page IconTo Next Page
To Previous Page IconTo Previous Page
To Previous Page IconTo Previous Page
Loading...
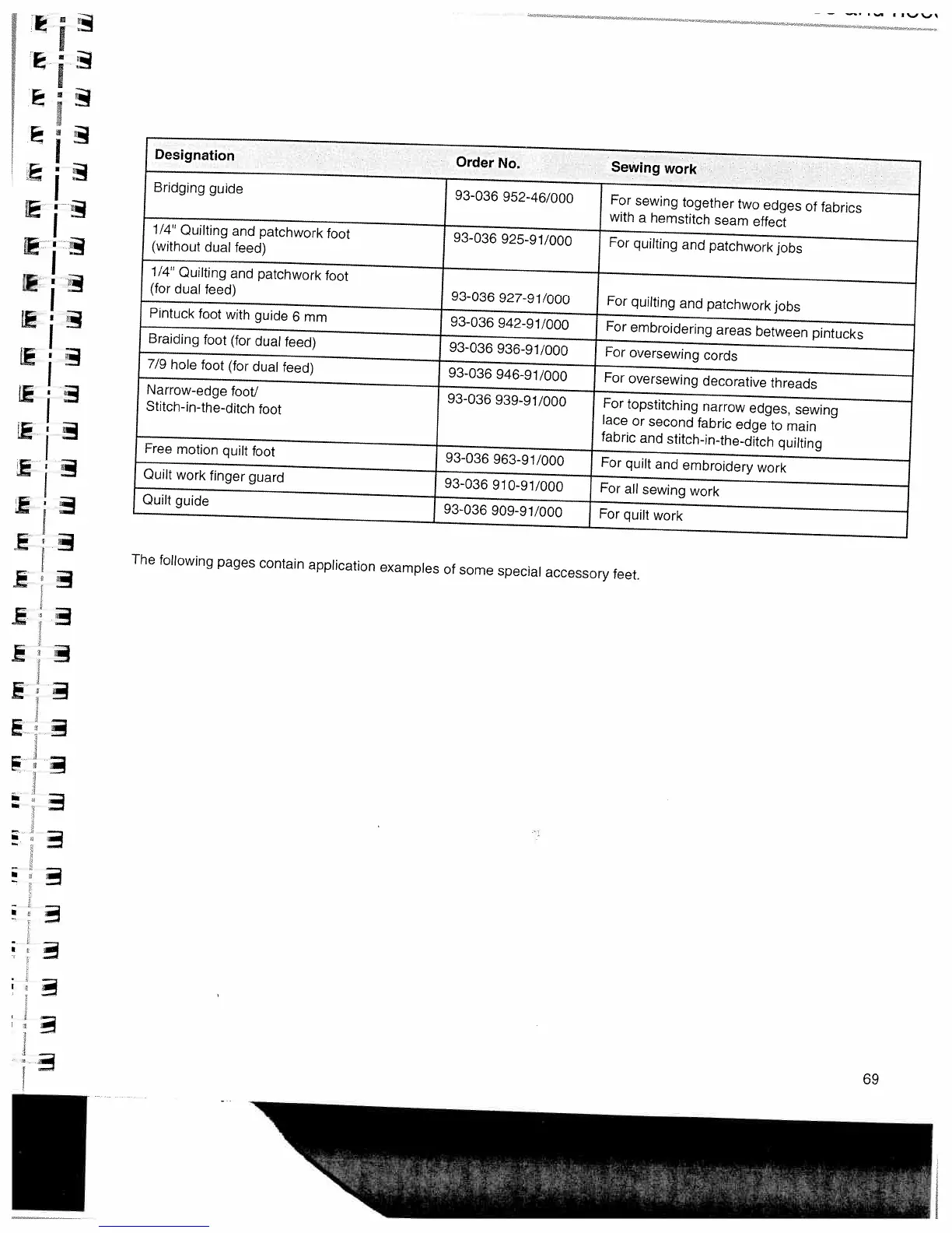
.3
The
following
pages
contain
application
examples
of
some
special
accessory
feet.
3
Designation
Order
No.
Sewing
work
Bridging
guide
93-036
952-46/000
For
sewing
together
two
edges
of
fabrics
with
a
hemstitch
seam
effect
1/4
Quilting
and
patchwork
foot
93-036
925-91/000
For
quilting
and
patchwork
jobs
(without
dual
feed)
1/4
Quilting
and
patchwork
foot
(for
dual
feed)
93-036
927-91/000
For
quilting
and
patchwork
jobs
Pintuck
foot
with
guide
6
mm
93-036
942-91/000
For
embroidering
areas
between
pintucks
Braiding
foot
(for
dual
feed)
93-036
936-91/000
For
oversewing
cords
7/9
hole
foot
(for
dual
feed)
93-036
946-91/000
For
oversewing
decorative
threads
Narrow-edge
foot/
93-036
939-91/000
For
topstitching
narrow
edges,
sewing
Stitch-in-the-ditch
foot
lace
or
second
fabric
edge
to
main
fabric
and
stitch-in-the-ditch
quilting
Free
motion
quilt
foot
93-036
963-91/000
For
quilt
and
embroidery
work
Quilt
work
finger
guard
93-036
910-91/000
For
all
sewing
work
Quilt
guide
93-036
909-91/000
For
quilt
work
69

Other manuals for Pfaff EXPRESSION 2024

Related product manuals