EasyManua.ls Logo

Philips DVP3000K - Page 19

Philips DVP3000K
53 pages
Print Icon
To Next Page IconTo Next Page
To Next Page IconTo Next Page
To Previous Page IconTo Previous Page
To Previous Page IconTo Previous Page
Loading...
4-9
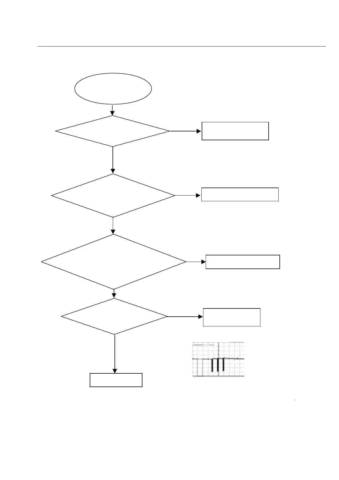
Rem ote reception is insensitive or fails.
No
Rem ote reception is
insensitive or fails.
C heck if the rem ote
control works
p
ro
p
erl
y
.
C heck battery
C heck R 315
C 315
U se an oscilloscope to check if there is
output waveform from the first pin IR of the
rem ote censor after pressing button on the
rem ote control.
U 201(PIN 3 - RC waveform)
C heck if there is IR
signal on pin 106 of U3
C heck if the pow er suppl
y
voltage to the rem ote censo
r
is normal are normal.
Go
No
No
No
Yes
Yes
Yes
Correct connection
Yes
C hange U3
IR w aveform
Trouble shooting chart
www.freeservicemanuals.info
World of Free Manuals

Related product manuals