EasyManua.ls Logo

Philips DVP3126 - Page 18

Philips DVP3126
46 pages
Print Icon
To Next Page IconTo Next Page
To Next Page IconTo Next Page
To Previous Page IconTo Previous Page
To Previous Page IconTo Previous Page
Loading...
4-8
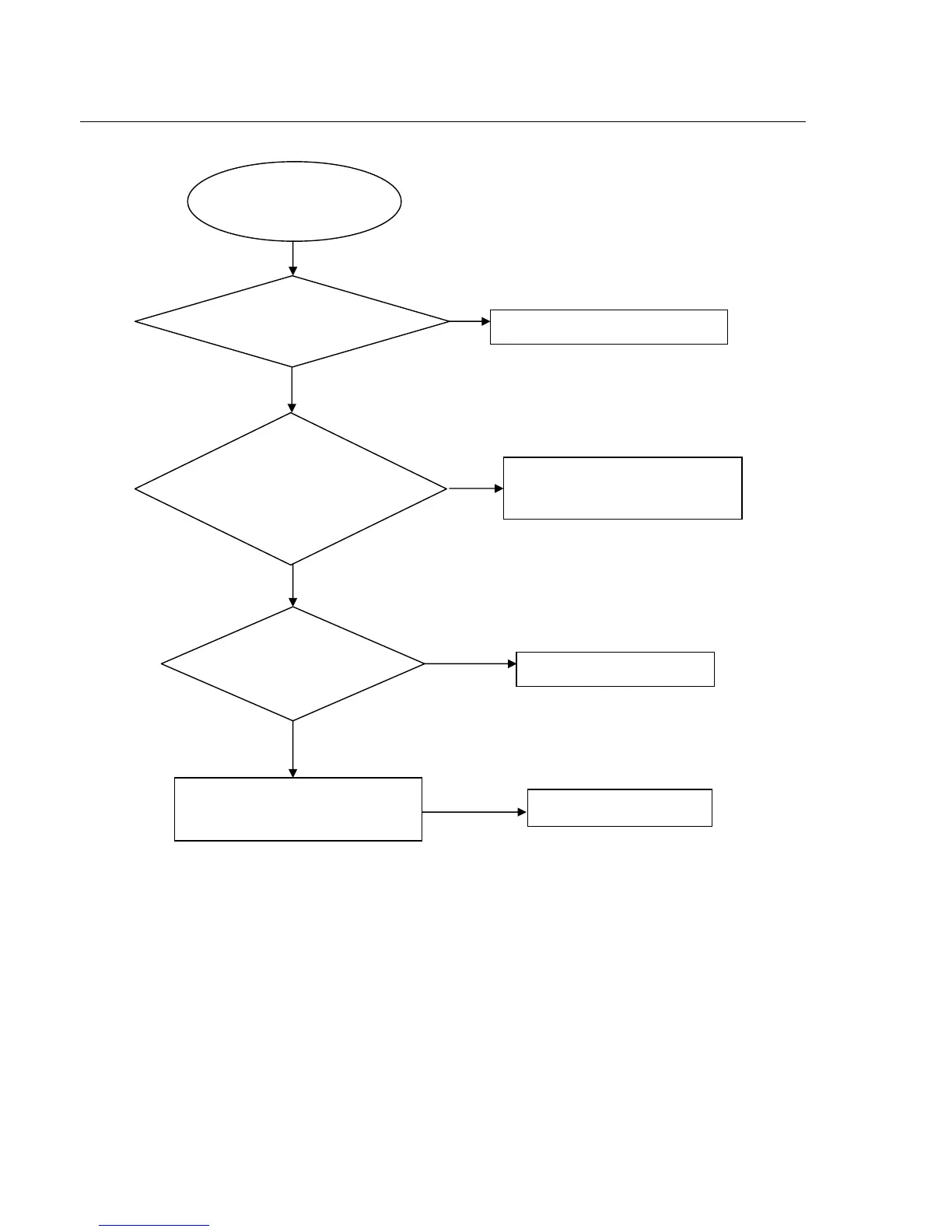
Abnormal color of video picture
Yes
Abnormal color of
video picture
Check whether the 3.3V
and 1.8V power supply
voltages on the decoder
board are normal.
Check Y1, R13, C38 and C39
Check other of power supply electric
circuit
Correct the connection
Check whether the
video filter network
circuit is normal.
Yes
Yes
No
No
No
Check whether the 27MHz
output signal normal.
change U1
Yes
No
Trouble shooting chart
Check if the video signals on Pin
147,149,151,152,154 of U1 are normal

Other manuals for Philips DVP3126

Related product manuals