EasyManua.ls Logo

Philips DVP3126K - Power on;off issues

Philips DVP3126K
46 pages
Print Icon
To Next Page IconTo Next Page
To Next Page IconTo Next Page
To Previous Page IconTo Previous Page
To Previous Page IconTo Previous Page
Loading...
4-2
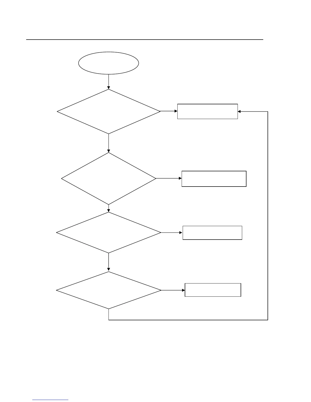
The power can not be on or off
Go
Ye s
Yes
No
No
The power can’t be
on or off
Yes
Repair the power board
Check the power supply
on the power board is
normal.
Check/Correct connection
Whether the connection
to K301 is broken.
Correct the connection
Replace U1.
No
No
Yes
Yes
Check if the CON301 on
the front board to CN5 on
the decoder board is in
good contact.
Whether there is 0V and
3.3V voltage difference on
Pin 94 PCON of U1.
Trouble shooting chart

Other manuals for Philips DVP3126K

Related product manuals