EasyManua.ls Logo

Philips DVP3126K - Display and button malfunctions

Philips DVP3126K
46 pages
Print Icon
To Next Page IconTo Next Page
To Next Page IconTo Next Page
To Previous Page IconTo Previous Page
To Previous Page IconTo Previous Page
Loading...
4-6
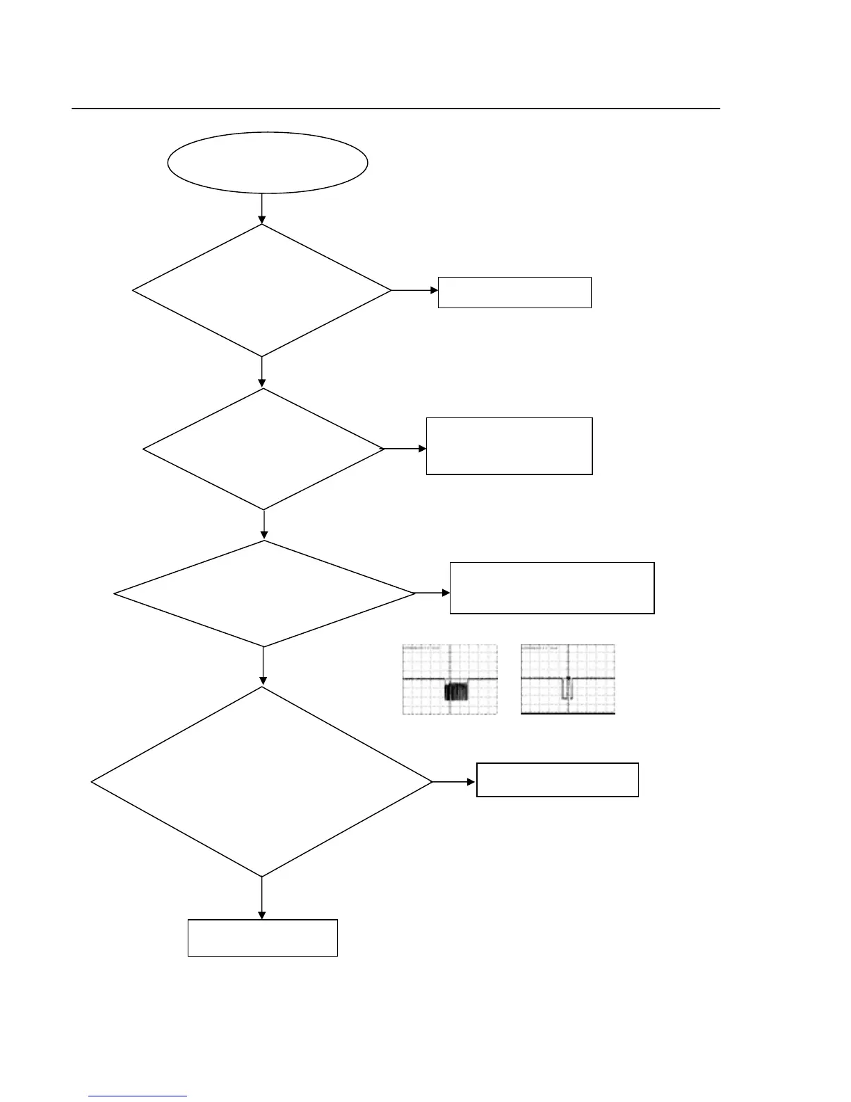
No display on LED, and buttons do not work
No
No
No
Yes
Yes
No display on LED, and
buttons do not work
Check whether there is
correct contact
between CON301 and
CN5
Correct connection
Fix power supply board top
a power supply for should
electric circuit
Check the U1’s pin 131,132,133
arrive the CN5 connect condition
Correct connection
Replace U301 or LED
Yes
Yes
Yes
No
Check VCC(+5v)
voltage on the power
and front board
Check there are CS, DATA and
CLK signals on CON301 on the
front board.
1.Check whether bad solder exists
on U301 and pins of LED,
2.Check whether the circuit
connected to K302, K303, K304
and K301 is broken,
3.Check whether R300, R301 and
R302 are open-circuit.
CN5 (PIN 2 CLK) CN5 (PIN4 DOUT)
Trouble shooting chart

Other manuals for Philips DVP3126K

Related product manuals