EasyManua.ls Logo

Philips DVP3156 - Page 19

Philips DVP3156
58 pages
Print Icon
To Next Page IconTo Next Page
To Next Page IconTo Next Page
To Previous Page IconTo Previous Page
To Previous Page IconTo Previous Page
Loading...
4-9
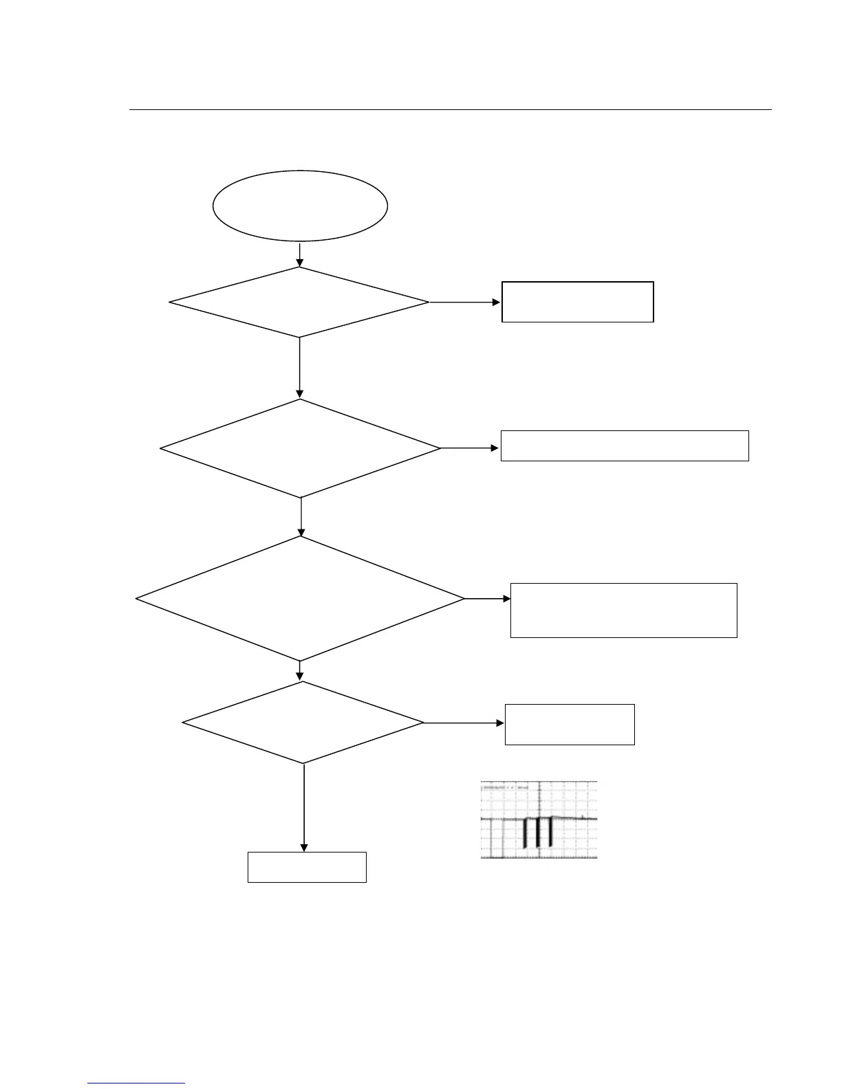
Remote reception is insensitive or fails.
No
Remote reception is
insensitive or fails.
Check if the remote
control works
p
ro
p
erl
y
.
Check battery
Check R315ǃC315 on the front board
Use an oscilloscope to check if there is
output waveform from the first pin IR of the
remote censor after pressing button on the
remote control.
Check the PIN 11 RC waveform of IC1
on the remote PCB
Check if there is IR
signal on pin 109 of U2
Check if the power supply
voltage to the remote censor
is normal are normal.
Go
No
No
No
Yes
Yes
Yes
Correct connection
Yes
Change U2
IR waveform
Trouble shooting chart
Remark: Trouble shooting chart for
DVP3160K/XX

Related product manuals