EasyManua.ls Logo

Philips DVP3156 - Page 26

Philips DVP3156
58 pages
Print Icon
To Next Page IconTo Next Page
To Next Page IconTo Next Page
To Previous Page IconTo Previous Page
To Previous Page IconTo Previous Page
Loading...
4-16
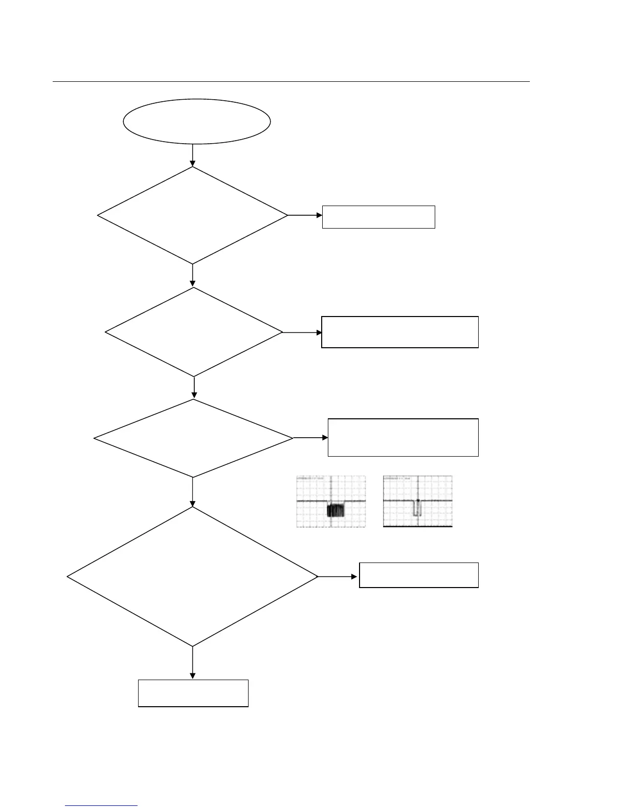
No display on LEDD, and buttons do not work
No
No
No
Yes
Yes
No display on LED, and
buttons do not work
Check whether there is
correct contact
between CON301 and
CN5
Correct connection
Fix power supply board top a power
supply for should electric circuit
Check the U2’s pin 97ˈ98ˈ100
arrive the CN5 connect condition
Correct connection
Replace U301 or LED
Yes
Yes
Yes
No
Check VCC(+5v) voltage on
the power and front board
Check there are CS, DATA
and CLK signals on CON301
on the front board.
1.Check whether bad solder exists on
U301 and pins of LED,
2.Check whether the circuit connected to
K302, K303, K304 and K301 is broken,
3.Check whether R300, R301 and R302
are open-circuit.
CN5 (PIN 2 V.SCK)
CN5 (PIN4 VSDA0)
Trouble shooting chart
Remark: Trouble shooting chart for
DVP3156/XX, DVP3166
(
K
)
/XX

Related product manuals