EasyManua.ls Logo

Philips DVP3156 - Page 28

Philips DVP3156
58 pages
Print Icon
To Next Page IconTo Next Page
To Next Page IconTo Next Page
To Previous Page IconTo Previous Page
To Previous Page IconTo Previous Page
Loading...
4-18
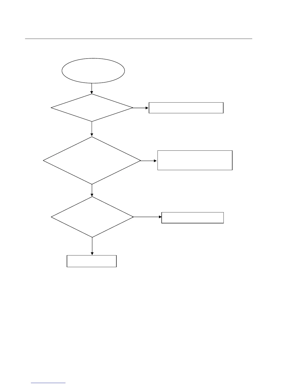
Abnormal color of video picture
Yes
Abnormal color of
video picture
Check whether the 3.3V
and 1.8V power supply
voltages on the decoder
board are normal.
Check Y1, R15, R217, C17 and C18
Check other of power supply electric
circuit
Correct the connection
Check whether the
video filter network
circuit is normal.
Yes
Yes
No
No
No
Check whether the 27MHz
out
p
ut si
g
nal is normal.
change U2
Yes
Trouble shooting chart
Remark: Trouble shooting chart for
DVP3156/XX, DVP3166
(
K
)
/XX

Related product manuals