EasyManua.ls Logo

Philips DVP3880KX - Front Panel Unresponsiveness

Philips DVP3880KX
44 pages
Print Icon
To Next Page IconTo Next Page
To Next Page IconTo Next Page
To Previous Page IconTo Previous Page
To Previous Page IconTo Previous Page
Loading...
4-6
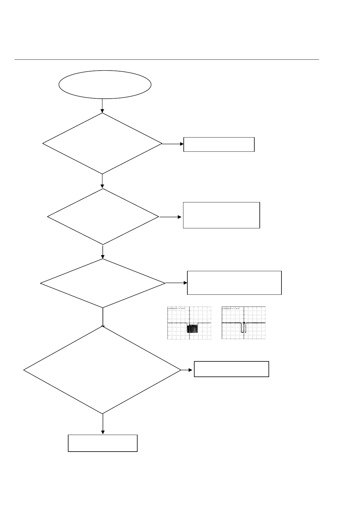
No display on LED, and buttons do not work
No
No
No
Yes
Yes
No display on LED, and
buttons do not work
Check whether there is
correct contact between
XS301 and XP5
Correct connection
Fix power supply board top
a power supply for should
electric circuit
Check the U20’s pin 36,37,38
arrive the XP5 connect condition
Correct connection
Replace U301 or LED
Yes
Yes
Yes
No
Check VCC(+5v) voltage
on the power and front
board
Check there are STB, SDA
and SCK signals on XS301
on the front board.
1.Check whether bad solder exists on
U301 and pins of LED,
2.Check whether the circuit connected to
K302, K303 and K301 is broken,
3.Check whether R300, R301 and R302
are open-circuit.
Trouble shooting chart
XP5 (PIN 1 CLK) XP5 (PIN3 DOUT)

Related product manuals