EasyManua.ls Logo

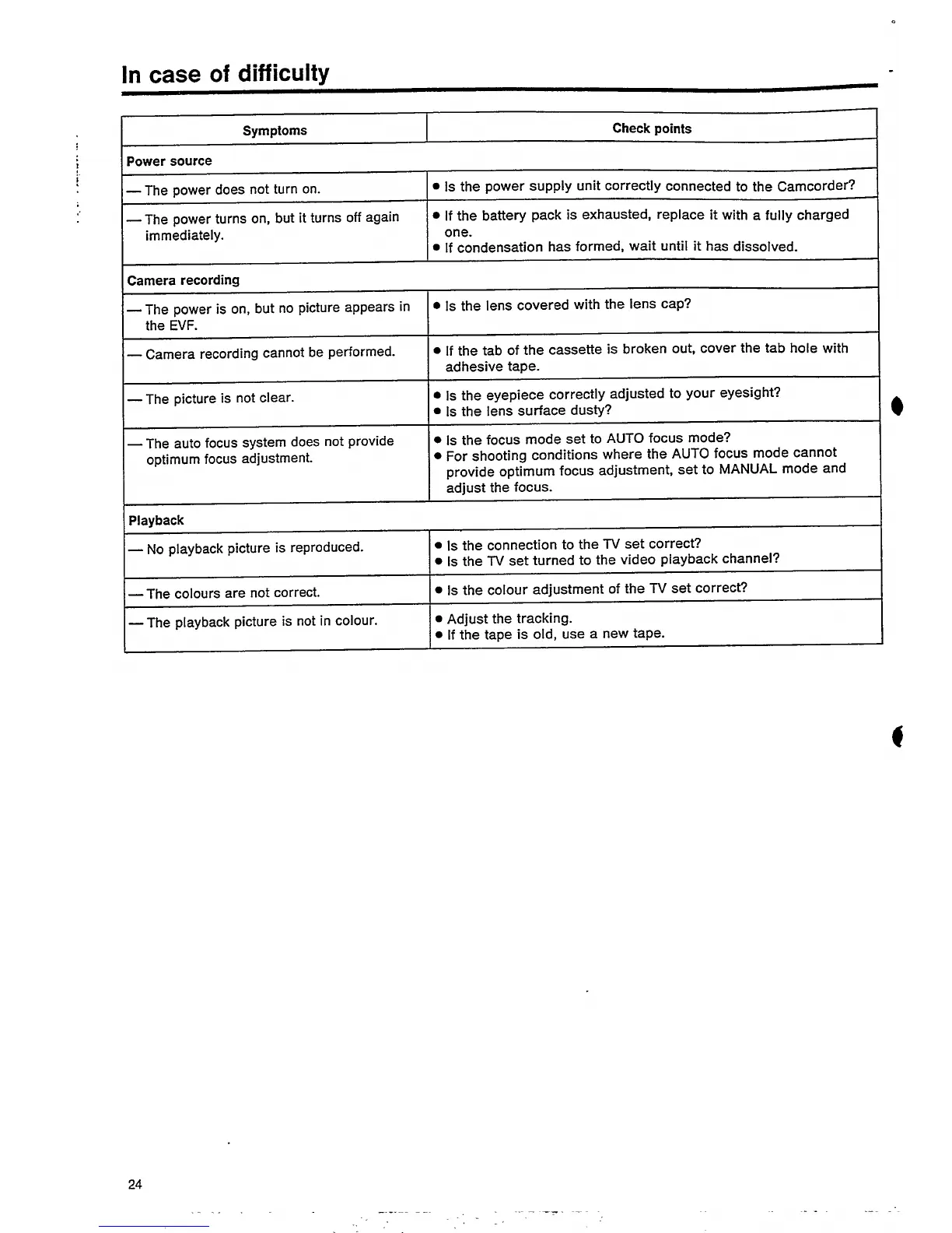
Philips VKR6853/21 - Troubleshooting Guide; Power Source Issues; Camera Recording Problems; Playback Difficulties

Philips VKR6853/21
29 pages
Print Icon
To Next Page IconTo Next Page
To Next Page IconTo Next Page
To Previous Page IconTo Previous Page
To Previous Page IconTo Previous Page
Loading...

Related product manuals