EasyManua.ls Logo

PREMIER TECH REWATEC - Hydraulic Performance; Performance Curve

PREMIER TECH REWATEC
20 pages
Print Icon
To Next Page IconTo Next Page
To Next Page IconTo Next Page
To Previous Page IconTo Previous Page
To Previous Page IconTo Previous Page
Loading...
6
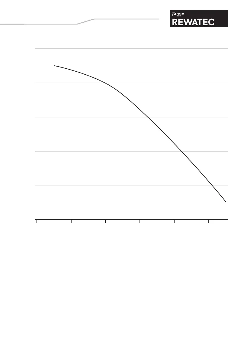
Hydraulic performance
50
40
30
20
10
0
0 1 2 3 4 5
Capacity Q (m
3
/h)
TMH, Total Manometric Height (in m of water column)

Related product manuals