EasyManua.ls Logo

Premium PWC286MLS - Page 12

Premium PWC286MLS
31 pages
Print Icon
To Next Page IconTo Next Page
To Next Page IconTo Next Page
To Previous Page IconTo Previous Page
To Previous Page IconTo Previous Page
Loading...
Maintenance Service and Trouble Shooting
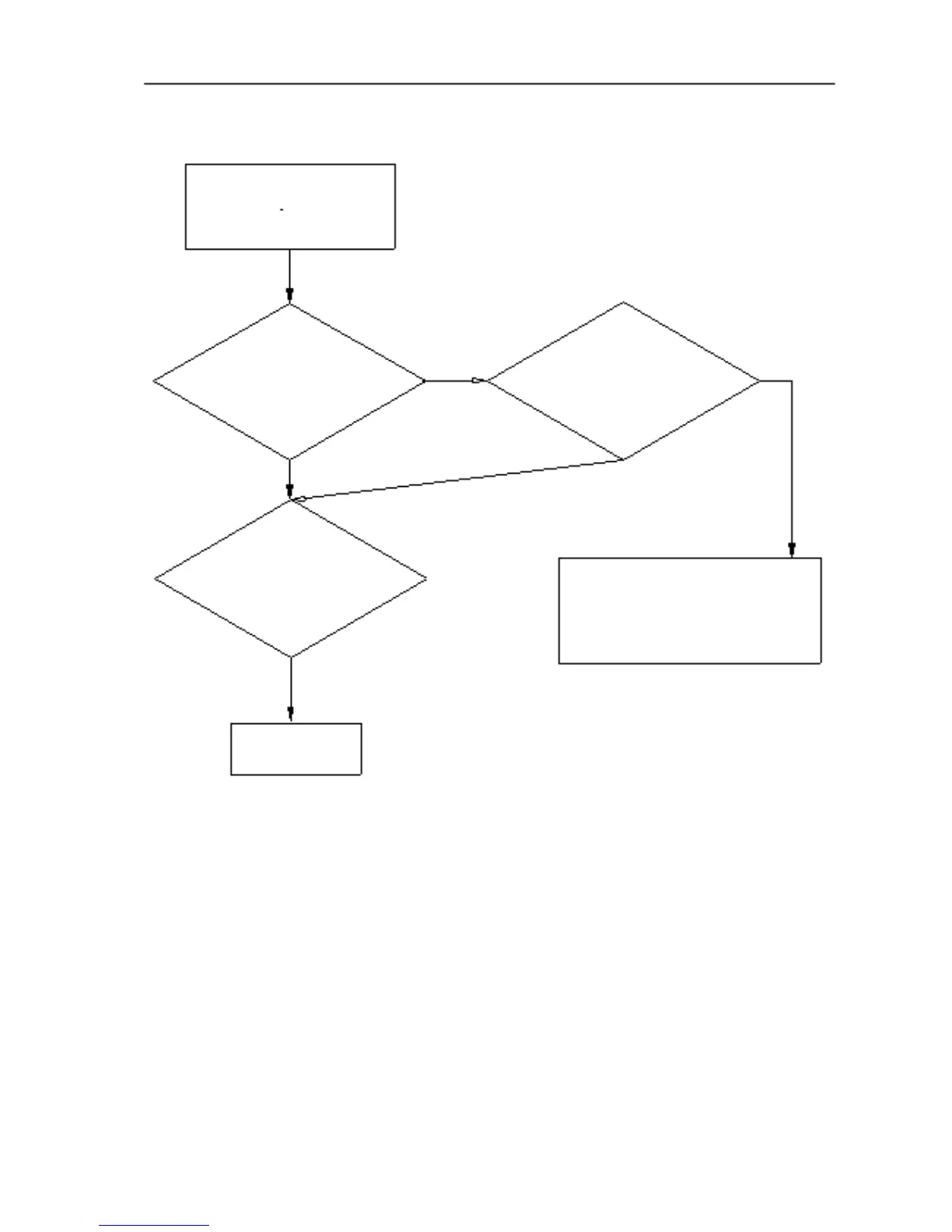
3 Cooling capacity is insufficient
Cooling capacity is
insufficient
Is the ambient
YES
temperature low than
16°C
Check the therostat is
correct?
YES
NO
Does the refrigerant
leak siowly?.
Adjust and instruct
consumer how to use.
Repair
12

Other manuals for Premium PWC286MLS

Related product manuals