EasyManua.ls Logo

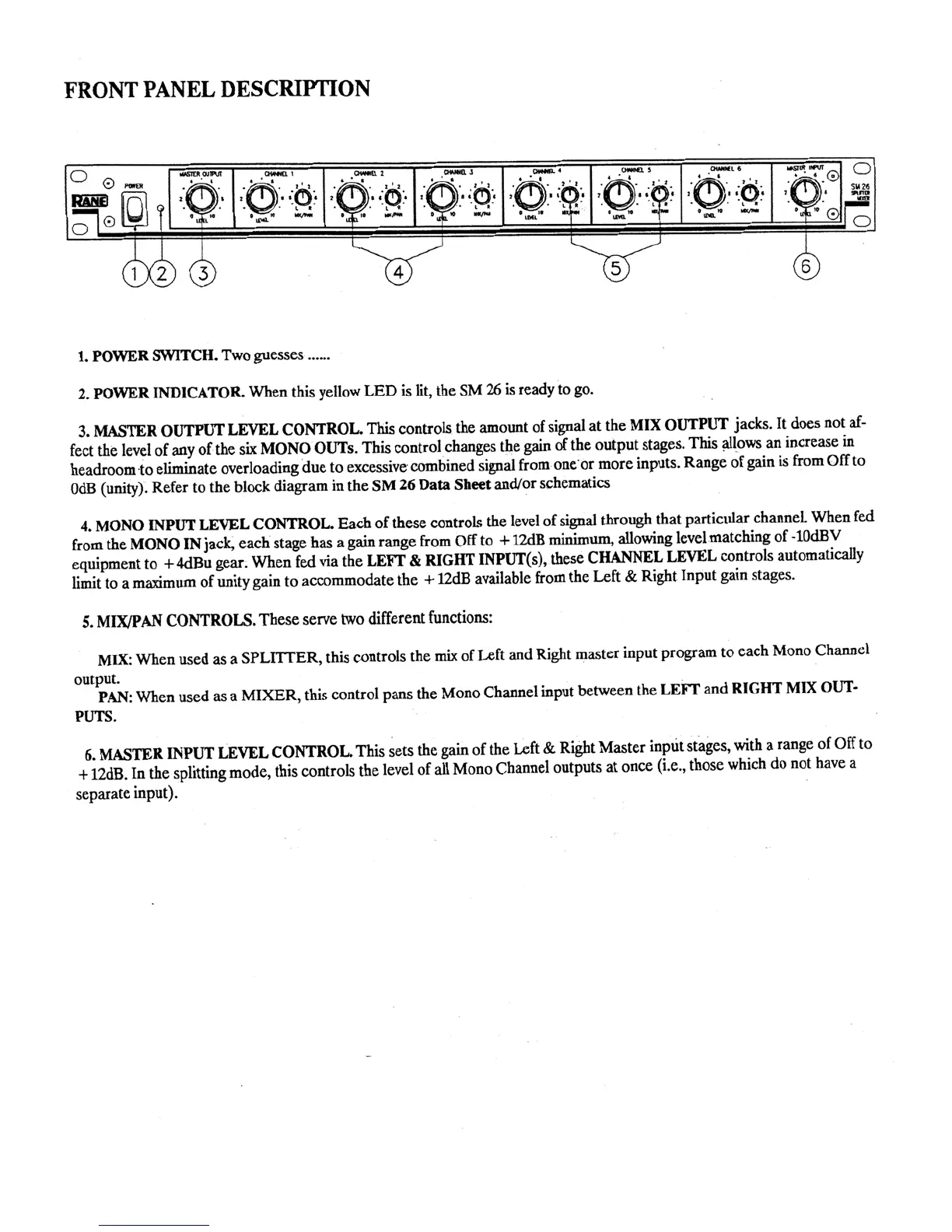
Rane SM26 - FRONT PANEL DESCRIPTION; Power Switch and Indicator; Input Level Controls; Mix and Pan Controls

Rane SM26
6 pages
Print Icon
To Next Page IconTo Next Page
To Next Page IconTo Next Page
To Previous Page IconTo Previous Page
To Previous Page IconTo Previous Page
Loading...

Related product manuals